折射角
折射光线与法线的夹角叫折射角,其折射情况遵循折射定律。
光从空气斜射入水或其他介质中时,折射角小于入射角,当入射角增加时,折射角随着增加。光从水中或其他介质斜射入空气中时,折射角大于入射角。当光从空气垂直射入(或其他介质射入),传播方向不改变。
基本信息
- 中文名
折射角
- 外文名
angle of refraction
- 定义
相对应的光线与法线的夹角1
- 折射情况
遵循折射定律
- 应用
看到的位置比实际位置高等
- 分类
物理学
- 所属学科
物理学、光学
基础定义
1.光的折射定律:三线同面,法线居中,空气中角大,光路可逆。
﹙1﹚折射光线,入射光线和法线在同一平面内。
﹙2﹚折射光线和入射光线分居在法线两侧。
﹙3﹚光从空气斜射入水或其他介质中时,折射角小于入射角,当入射角增加时,折射角随着增加。光从水中或其他介质斜射入空气中时,折射角大于入射角.当光从空气垂直射入(或其他介质射入),传播方向不改变。
2.光的折射规律总结:
(1)三线一面
(2)两线分居
(3)两角关系分三种情况:
①入射光线垂直界面入射时,折射角等于入射角等于0°;
②光从空气斜射入水等介质中时,折射角小于入射角;
③光从水等介质斜射入空气中时,折射角大于入射角。
3.应用:从空气看水中的物体,或从水中看空气中的物体看到的是物体的虚像,看到的位置比实际位置高。
推导过程
用费马原理推导
费马原理又称为“最短时间原理”:光线传播的路径是需时最少的路径。费马原理更正确的版本应是“平稳时间原理”。对于某些状况,光线传播的路径所需的时间可能不是最小值,而是最大值,或甚至是拐值。例如,对于平面镜,任意两点的反射路径光程是最小值;对于半椭圆形镜子,其两个焦点的光线反射路径不是唯一的,光程都一样,是最大值,也是最小值;对于半圆形镜子,其两个端点Q、P的反射路径光程是最大值;又如最右图所示,对于由四分之一圆形镜与平面镜组合而成的镜子,同样这两个点Q、P的反射路径的光程是拐值。
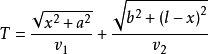
假设,介质1、介质2的折射率分别为n1、n2,光线从介质1在点O传播进入介质2,θ1为入射角,θ2为折射角。
从费马原理,可以推导出斯涅尔定律。通过设定光程对于时间的导数为零,可以找到“平稳路径”,这就是光线传播的路径。光线在介质1与介质2的传播速度分别为v1=c/n1,v2=c/n2。其中,c为真空光速。
由于介质会减缓光线的速度,折射率n1、n2都大于1。
如右图所示,从点Q到点P的传播时间为
.
根据费马原理,光线传播的路径是所需时间为极值的路径,取传播时间T对变量x的导数,并令其为零。经整理后,可得dT/dx=sinθ1/v1-sinθ2/v2=0。
将传播速度与折射率的关系式代入,就会得到折射定律:n1sinθ1=n2sinθ2。2