Ga,在流体力学中,Galileo number(Ga)也被称为Galilei number,是以意大利科学家Galileo Galilei(1564-1642)的名字命名的无量纲数。
在粘性流体中,Galileo number表征重力与粘滞力的比值,也被理解为采用沉速作为特征速度的雷诺数。
基本信息
中文名
外文名
Galileo number(Galilei number)
属性
符号
相关概念
定义
粘性流体中表征作用力比值的无量纲数
物理意义
理解一

其中
重力加速度
为流体密度
为流体动力粘滞系数
为特征尺度。
Ga为表征重力作用和粘滞作用的对比关系
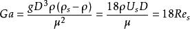
理解二
在研究流体中固相颗粒运动的问题时,伽利略数可以理解为

其中
表示流体密度
表示颗粒密度
表示颗粒粒径