• 1.摘要
  • 2.基本信息
  • 3.定义
  • 4.影响因素
  • 5.表达式
  • 6.静电力做功
  • 7.参考资料

静电力

静电力指静止带电体之间的相互作用力。带电体可看作是由许多点电荷构成的,每一对静止点电荷之间的相互作用力遵循库仑定律。又称库仑力(Coulomb force)。

基本信息

  • 中文名

    静电力

  • 外文名

    electrostatic force

  • 又称

    库仑力

  • 定义

    两个静止带电体之间的静电力

定义

两个静止带电体之间的静电力就是构成它们的那些点电荷之间相互作用力的矢量和。静电力是以电场为媒介传递的,即带电体在其周围产生电场,电场对置于其中的另一带电体施以作用力,且两个带电体受到的静电力相等。

库仑定律表明,静电力作功与路径无关,是保守力(见势能),所以静电场(electrostatic field)是保守场,也称势场、非旋场,其电力线是不闭合的,可以引入电势(标量)来描述它。在产生静电场的电荷之间作用着静电力。库仑定律可以计算两个点电荷之间的力,但对更为复杂的带电系统,用库仑定律去计算其中一个物体受到所有其他物体上电荷的作用力是很麻烦的, 即使对计算充电平行板电容器两极板间的力这种简单的情况也是如此。

在化学中,静电力是一种分子间作用力(intermolecular force)。极性分子有偶极距,偶极分子之间存在静电相互作用,这种分子间的相互作用称为静电力。所以静电力只存在于极性分子之间。

库仑定律是法国物理学家库仑(C. A. Coulomb,1736——1806)在前人工作的基础上,通过与牛顿万有引力定律的类比和自己大量的实验研究,在1785年提出来的。

影响因素

影响因素可能为:电荷量、两电荷间的距离、带电体形状、大小,环境,质量等。

表达式

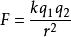
静电力的大小可表示为:image,k为静电力常量。

静电力的方向为:同种电荷互相排斥,异种电荷相互吸引。

适应条件为:真空、静止的点电荷。

静电力做功

1.特点:在电场中移动电荷时静电力做功与电荷经过的路程无关,只与初末位置有关,可见静电力做功与重力做功相似。

2.计算方法:一在匀强电场中,静电力做的功image,其中d为沿电场线方向的位移。

静电力做的功等于电势能的减少量,即image1

参考资料

  • 1
    [1]刘喜斌. 静电力与静电场应力张量[J]. 湖南理工学院学报(自然科学版),2009,22(04):58-61.