• 1.摘要
  • 2.基本信息
  • 3.定义
  • 4.性质
  • 5.常用方法
  • 6.参考资料

可逆矩阵

数学术语

可逆矩阵(invertible matrix)是一种存在且唯一存在逆阵的特殊矩阵。

1/2

矩阵A为n阶方阵,若存在n阶矩阵B,使得矩阵A、B的乘积为单位阵,则称A为可逆阵,B为A的逆矩阵。若方阵的逆阵存在,则称为可逆矩阵或非奇异矩阵,且其逆矩阵唯一。

基本信息

  • 中文名

    可逆矩阵

  • 外文名

    invertible matrix

  • 别名

    非奇异矩阵

定义

image是数域,image,若存在image,使得imageimage为单位阵,则称image为可逆阵,imageimage的逆矩阵,记为image。若方阵image的逆阵存在,则称image为可逆矩阵或非奇异矩阵。1

性质

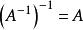
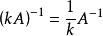
(1)若image为可逆矩阵,则image的逆矩阵是唯一的。

(2)设imageimage是数域image上的image阶矩阵,image

①若image可逆,则imageimage也可逆,且imageimage

②若image可逆,则image可逆imageimage,且image

imageimage均可逆imageimage1

常用方法

(1)判断或证明image可逆的常用方法

①证明image

②找一个同阶矩阵image,验证image

③证明image的行向量(或列向量)线性无关。

(2)求image的方法:

①公式法:image,其中image为矩阵image的伴随矩阵。

②初等变换法:对image作初等变换,将image化为单位阵image,单位矩阵image就化为image1

参考资料

  • 1
    孙敏著高等代数方法研究云南大学出版社2009