• 1.摘要
  • 2.基本信息
  • 3.[化学]
  • 4.二甲苯异构化工业过程中副反应的控制
  • 4.1.主反应与副反应
  • 4.2.酸性中心对副反应的影响
  • 4.3.工艺条件对副反应的影响
  • 5.分析化学中副反应系数的教学
  • 5.1.副反应系数定义的提出
  • 5.2.副反应系数的应用
  • 6.参考资料

副反应

[医药]

是指药物在治疗剂量下发生的,是药物本身固有的作用,多数较轻微并可以预料。由于选择性低,药理效应涉及多个器官,当某一效应用作治疗目的时,其他效应就成为了副反应(通常也称副作用)。副反应指一般会出现的反应,副作用常指药物不利治病的一面,多数不出现反应。

基本信息

  • 中文名

    副反应

  • 外文名

    The side reaction

  • 释义

    药物在治疗剂量下发生的

  • 别名

    副作用

[化学]

副反应就是反应物在一定条件下同时进行着两个或两个以上的不同反应,不是只有生成一个我们想要的物质,还生成我们不想要的物质,通常叫它为副产物,这个生成我们不想要的物质的反应我们叫它为副反应,比如甲苯的硝化反应,硝基可以在邻位,对位,和间位取代,成为硝基甲苯,这样我们只是要其中的一种,那么生成另外两种产物的反应就是副反应。

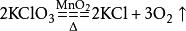
比如在二氧化锰催化氯酸钾分解制备氧气的实验中,方程式为image但这个反应并不是一步完成的,其中有三个副反应,分别是

image

image

image

其实不难发现,这三个副反应相加刚好就是原来的反应,而二氧化锰在等式左右两边约去了,则在宏观上不参与反应,但方程式中还是要写出来作为催化剂。

二甲苯异构化工业过程中副反应的控制

在二甲苯异构化催化剂上,副反应的发生与催化剂的酸性功能和操作条件密切相关。大部分副反应主要是由乙苯的转化过程引起的,优化反应温度与压力的匹配、控制适宜的乙苯转化程度是减少副反应的关键。1

主反应与副反应

非平衡组成的混合二甲苯转化为接近热力学平衡组成的二甲苯混合物是主反应之一,同时另一主反应是乙苯转化为二甲苯。在二甲苯异构化催化剂的酸性功能和金属功能上,通过主反应可以达到预期的异构化转化率和乙苯转化率。

在主反应发生的同时,伴随着一系列副反应的发生,如乙苯自身、乙苯与二甲苯、二甲苯自身之间的歧化和烷基转移反应,乙苯与二甲苯的脱烷基,乙苯的加氢饱和及开环裂解等反应。主要副反应如下:歧化反应、烷基转移反应、脱烷基反应、加氢开环裂解反应。1

酸性中心对副反应的影响

分子筛的酸性中心不仅是二甲苯异构化反应的有效活性位,也是歧化、烷基转移、加氢裂解等副反应的活性位。从上述副反应可看出,乙苯参与的副反应占多数,因此提高乙苯转化过程的选择性是降低副反应程度的关键。二甲苯主要参与了歧化和烷基转移反应;在适宜的工艺条件下,在催化剂催化二甲苯异构化反应的过程中,二甲苯发生脱烷基和加氢开环反应的可能性较小。歧化和烷基转移反应属于双分子反应,需要一个体积较大的中间过渡物(二苯基甲烷),其空间位阻较大,这类反应需在分子筛的较强B酸作用下、在较大的孔道内才能完成;脱烷基反应由于需要一个较高的能垒来断裂C—C键,也需要强B酸中心的催化;加氢开环反应同样也需要强B酸中心的催化才能完成。因此,虽然强B酸中心是催化二甲苯异构化的重要活性中心,但催化剂中的强B酸中心数量越多,引起的副反应也越多。1

工艺条件对副反应的影响

催化剂的操作工艺条件也会对副反应发生的程度产生影响。对于预先设计好活性的催化剂,工艺操作条件(温度、压力、重时空速、氢烃摩尔比)的变化是调整催化剂活性的重要手段。工艺条件的变化会对反应结果产生较大影响:随反应温度的升高,反应活性增加、选择性降低;随反应压力的增加,反应活性增加、选择性降低;随重时空速的增加,反应活性降低、选择性升高;随氢烃摩尔比的增加,活性略有降低、选择性略有升高。1

分析化学中副反应系数的教学

分析化学教学中遇到的问题,对副反应系数的教学方法进行了探讨,给出了副反应系数的明确定义,并总结了副反应系数在分析化学中的应用。通过类比的方法,利用累积稳定常数,将酸效应系数和配位效应系数的计算公式变得更容易理解和记忆。2

副反应系数定义的提出