• 1.摘要
  • 2.基本信息
  • 3.简介
  • 4.计算方法
  • 4.1.降水量作为干燥度的代用指标
  • 4.2.可能蒸散量计算的干燥度
  • 4.3.温度与降水计算的de Martonne干燥度
  • 4.4.以积温来计算干燥度
  • 4.5.辐射计算的Budyko干燥率
  • 5.时空分布特征
  • 5.1.华北平原
  • 5.2.东北三省
  • 5.3.内蒙古
  • 6.干燥度与湿度的区别
  • 7.中国干燥度地域划分
  • 7.1.湿润地区
  • 7.2.温带湿润地区
  • 7.3.半干旱地区
  • 7.4.干旱地区
  • 8.参考资料

干燥度

干燥度(drought index)是表征气候干燥程度的指数。又称干燥指数,通常用字母K表示。定义为某地一定时段内的水面可能蒸发量与同期降水量的比值。1反映了某地、某时段水分的收入和支出状况。它比仅仅使用降水量或蒸发量反映一地水分的干湿状况更加确切。

基本信息

  • 中文名

    干燥度

  • 外文名

    drought index

  • 定义

    表征气候干燥程度的指数

  • 又称

    干燥指数

简介

干燥度(Aridity index , AI , 或其它缩写形式,如K 等)表征一个地区干湿程度的指标,也称干燥度指数, 一般以某个地区水分收支与热量平衡的比值来表示, 其倒数称为湿润指数(Humidity index, HI)。

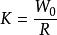
干燥度表达公式如下:image,式中:K为干燥度;W0水面可能蒸发量;R为同期降水量。1

以K值为1.0的等值线来区分湿润地区和半湿润地区的指标。K<1为湿润地区,k=1~1.25为半湿润地区。这条等值线大致相当于秦岭——淮河线。但此线以北的大、小兴安岭,长白山地,胶东半岛的K值亦小于1。k<1的地区表示降水量大于可能蒸发量,植被为森林;k=1~1.25为半湿润区,植被为森林草原,草甸草原,土壤中有一些石灰质积累,有些地区有盐渍现象,旱患频率较大. K>1.25~4为半干旱地区,包括广大的西北地区 和青藏高原,半干旱地区与干草原区相当。 K>4为干旱地区,植被为干荒漠,发展农业需进行灌溉;土壤中含有较多的可溶性盐类。

计算方法

中外学者自1900 年以来提出了许多计算干燥度指数的方法, 简单的是以经验公式如降水和气温的比值来表达, 复杂的则是通过计算可能蒸散量(Potential evapotranspiration , PE), 以降水与可能蒸散的对比关系获得干燥度。2

以下为几种常用的干燥度指数计算方法与应用:

降水量作为干燥度的代用指标

最简单直接的干燥度计算, 是以多年平均降水量(Precipitation , P)作为标准。联合国粮农组织(Food and agriculture organization , FAO)认为, 农作物及草地生产潜力, 或者作物种类、耕作制度以及草地管理方式的选择, 取决于降水及土壤水分对植物或作物生长期的有效性, 该生长期的降水量是气候区划的重要指标。

在我国以年降水量为指标划分干湿气候区存在3 种不同的意见:1)年降水量小于200 mm 为干旱区, 200 ~ 400 mm 为半干旱区;2)年降水量大于200 mm 为干旱区, 200 ~450 mm 为半干旱区;3)年降水量小于250 mm 为干旱区, 250 ~ 500 mm 为半干旱区。任福民等(1995)利用全国160 个气象站1951 ~ 1992 年的年降水标准化资料, 以年降水700 mm 为标准, 将全国划分为两个大区:干旱半干旱区和非干旱区。由此可见, 干旱与非干旱的差别, 在年平均降水量上可表达为400 、500和700 mm 3 个标准。

此类以降水量作为干燥度代用指标的方法不仅在具体划分的标准上存在分歧, 而且只考虑了水分收入, 未考虑水分的支出, 没有水分平衡的概念, 不能定量说明水分的盈亏, 无法如实反映自然界的真实面貌, 特别是植物与土壤的分布, 生态学意义不明确。因此, 降水量指标作为干燥度指数的代用品, 仅可在其它气象资料缺乏而只有降水量数据存在时使用, 如果有较丰富的其它气候指标, 则需要配合这些指标使用。

可能蒸散量计算的干燥度

按Penman(1948)的定义, 潜在蒸发是“从不匮缺水分的、高度一致并全面遮覆地表的矮小绿色植物群体在单位时间内的蒸腾量” , 包括从所有表面的蒸发与植物蒸腾。可能蒸散量(PE)与降水量(P )之比即干燥度(K), 计算公式如下:

K =PE/P

目前, 以可能蒸散量计算干燥度的方法在国际上比较流行。按照计算可能蒸散量的方法不同, 可以分为Penman 和Thornthwaite 方法以及目前在国内外应用较多的Holdridge 生命地带分类系统中的可能蒸散计算方法。

温度与降水计算的de Martonne干燥度

最简单的计算气候干燥度的方法就是利用温度与降水这两个气候因子来计算干燥度, 此类方法主要有de Martonne 干燥度计算方法。

de Martonne(1926)提出了一种简单的干燥度计式中,image式中,IdM即de Martonne 干燥度, P 为平均降水量(mm), T 为平均温度值(℃)。

干燥度值小于10 , 表明严重干旱, 河流断流, 农作物需要强制人工灌溉;干燥度值在10 ~ 30 之间,表明中等干旱, 河流暂时性有水, 流量中等, 植被类型为草原;干燥度大于30 , 表明气候湿润, 河流常年有水, 不断流, 并水量充足, 植被类型为森林。