• 1.摘要
  • 2.基本信息
  • 3.简介
  • 4.临界电流理论
  • 5.超导材料中临界电流研究
  • 6.高温超导带材研究
  • 7.不同超导带材的临界电流
  • 7.1.CORC
  • 7.2.Roebel Cable
  • 7.3.TSTC
  • 7.4.CICC
  • 7.5.HTS-Cro Co

临界电流

临界电流指处于超导态的超导体通以直流电流增加到临界值时样品转入正常态。实验发现在一超导体中流过电流时,超导体保持无阻有一电流上限,我们把它叫做该超导体的临界电流Ic,只要I≥Ic,则超导体出现电阻。

基本信息

  • 中文名

    临界电流

  • 外文名

    criticalcurrent

  • 发生原因

    电流产生的磁场对应着临界磁场时

  • 相关公式

    Ic(T)=Ic(0)[1-(T/Tc)2]

  • 领域

    电力系统

  • 符号

    Ic

简介

实验发现在一超导体中流过电流时,超导体保持无阻有一电流上限,我们把它叫做该超导体的临界电流Ic,只要I≥Ic,则超导体出现电阻。 然而对于Meissner态的超导体和混合态的非理想Ⅱ类超导体临界电流的机制是不一样的。

临界电流理论

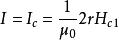
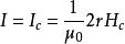
Silsbee假设电流对超导电性的破坏就是电流在超导体表面上产生的磁场在任一点超过临界场而致. 对Ⅰ类超导体和处于Meissner态的Ⅱ类超导体,Ic是符合Silsbee假设的. 例如当电流I流过一根半径为r的超导圆柱时,电流在其表面产生的磁场为:

对于Ⅰ类超导体. 当image时,超导体将出现电阻;对Ⅱ类超导体为image时,Ⅱ类超导体将出现电阻。

但要注意的是当I=Ic时,虽然突然出现电阻,但不能达到完全正常态的电阻。其原因是当I=Ic后,表面达到Hc(或Hc1),圆柱体外表层变成正常,电流将在小于r的超导柱心内流动,这样柱心表面的磁场要大于Hc(或Hc1),超导柱心将继续缩小直到全部都变成正常。 而正常金属中电流则均匀分布于截面,于是体内电流产生的磁场小于Hc(或Hc1),故柱内又不可能处于正常态,这显然是一个矛盾的解释。

F.London (1937)指出当I≥Ic后,超导柱进入中间态,在柱截面上出现一不均匀的电流分布,以保持柱内各处电流产生的磁场是Hc(或Hc1). 随着I(>Ic)增加,中间态超导部分逐渐减少,最后全部过渡到正常态。

超导材料中临界电流研究

高温超导带材应用于超导限流器、超导储能等超导电力装置时,会受到外界磁场的影响。在外界磁场的影响下,高温超导带材的临界电流会发生衰减,衰减程度由外界磁场的方向和强度决定。临界电流直接影响这些超导电力设备的性能,因此在背景磁场下开展高温超导带材临界电流实验研究就显得至关重要。

在超导电力技术应用中,超导储能(SEMS)系统以其具有储能密度高、功率密度高、响应速度快、储能效率高及四象限功率补偿能力的特点,在提高电力系统稳定性、改善供电品质方面得到了广泛关注和深入研究。由于第一代高温超导带材使用了贵金属银,所以其制作成本下降空间受到限制。第二代高温超导带材虽然对设备、工艺等有较高的要求,但是随着技术的进步,其带材的生产成本必然会下降,这就给超导电力设备的大规模应用带来了希望。当第二代髙温超导带材应用于超导储能装备时,带材的临界电流在储能磁体的设计过程中是个重要的参数。储能磁体在运行过程中会产生强磁场,而超导带材的临界电流对磁场又非常敏感。因此磁场对髙温超导带材临界电流影响的研究对于储能磁体的设计就必不可少了。

磁场大小对于超导带材临界电流的影响非常大。在平行磁场的影响下,临界电流的衰减程度会随着磁场的增大而趋于平缓。随着磁场强度的不断增大,超导带材的临界电流有着明显的衰减;在外界磁场的方向由平行转为垂直的过程中,临界电流衰减程度逐渐变大。

高温超导带材研究

从应用角度讲,高温超导带材必须达到以下几方面的要求:可靠性高、成本低廉、柔性强度好以及较低的交流损耗,才能被市场所接受。第一代高温超导材料还很难满足上述条件,如Bi 系高温超导带材虽然已实现了批量生产,但其因含有一部分价格昂贵的银层使其成本高,且在垂直磁场下 Jc的急剧衰减使其大规模应用前景渺茫。与其相比,REBCO 高温超导带材经济性能好,具有较高的不可逆场,达到 7T,可以达到相同运行情况下 Bi 系带材不可逆场的30倍左右,使得 REBCO 高温超导带材可以应用于强磁场中。而且在相同载流面积下,REBCO 高温超导带材的载流能力是铜电缆的100 多倍,因此有很强的载流能力。目前,美国 AMSC 公司、美国Super Power 公司、德国EHTS 公司、以及我国的上海超导、苏州超导公司都具备生产第二代高温超导带材的能力。

由于高温超导材料是氧化物陶瓷材料,机械性能差。当机械应力达到某些值时,载流能力将会下降。超导材料常考虑的机械特性包括拉伸应力、应变,弯曲及扭绞应变对超导材料临界电流的影响。国内外很多机构对第二代高温超导带材的特性进行了研究,如我国中科院电工研究所研究了拉伸应力对高温超导带材的临界电流,n值和交流损耗等的影响规律;华北电力大学研究了高温超导带材在两种不同弯曲形式情况下载流能力受到的影响;美国、德国、韩国等国家也研究了超导带材的内部结构在外部应力载荷作用下损伤演化过程。

不同超导带材的临界电流

超导带材的不同堆叠方式对其电磁及机械性能的影响很大。国内外先后提出了多种基于第二代高温超导带材的超导导体结构设计方法,常见的股线导体有CORC、Reobel、TSTC、CICC、HTS-Cro Co以及高温超导大电流引线和准各向同性高温超导股线,它们的结构都在一定程度上改善了导体的电磁及机械性能。

CORC

CORC(Conductor on round core) 由D. C. van der Laan等人设计的一种新型超导导体,其结构是REBCO带材以螺旋缠绕的方式绕制在线芯上,并在外侧用绝缘材料进行包覆。