• 1.摘要
  • 2.基本信息
  • 3.面积公式
  • 4.另解
  • 5.公式推导过程

扇形面积

数学术语

扇形是与圆形有关的一种重要图形,其面积与圆心角(顶角)、圆半径相关,圆心角为n°,半径为r的扇形面积为nºπr²/360º。

1/2

如果其顶角采用弧度单位,则可简化为半径乘弧长乘1/2弧长=半径×弧度。

基本信息

  • 中文名

    扇形面积

  • 外文名

    The area of a sector

  • 相似

    三角形

  • 面积相关

    圆心角半径

  • 弧长

    半径×弧度

  • 定义

    几何图形

面积公式

扇形还与三角形有相似之处,上述简化的面积公式亦可看成:1/2×弧长×半径,与三角形面积:1/2×底×高相似。

扇形面积

公式:imageS扇=(lR)/2 (l为扇形弧长) =(1/2)θR²(θ为以弧度表示的圆心角)

S扇=(n/360)πR²

s扇=1/2lr(当知道弧长时)

(n为是1度角的倍数,R为扇形的半径)

注:π为圆周率约等于3.1415926535 一般取3.14

另解

1/3

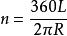
R是扇形半径,n是弧所对圆心角度数,π是圆周率

也可以用扇形所在圆的面积除以360再乘以扇形圆心角的角度

S=nπR²/360

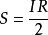
S=LR/2

(L为弧长,R为半径)

公式推导过程

因为圆形为360度,扇形就是N度角的圆形,所以:

1.n度圆形(扇形)面积为:image

2.n度圆形(扇形)所对应的弧长为:image,所以,image,带入1表达式中,image