• 1.摘要
  • 2.基本信息
  • 3.基本简介
  • 4.广义弓形面积公式
  • 5.参考资料

弓形面积公式

数学公式

弓形面积公式(area formula of the segment of a circle)是平面几何的基本公式之一,用来计算弓形面积的公式。把弓形弧两端与圆心连结得一个扇形和一个三角形,当弓形弧为劣弧时,弓形面积等于扇形面积减去三角形面积;当弓形弧为优弧时,弓形面积等于扇形面积加上三角形面积1

基本信息

  • 中文名

    弓形面积公式

  • 外文名

    area formula of the segment of a circle

  • 所属学科

    数学2

  • 所属问题

    平面几何

  • 含义

    用来计算弓形面积的公式

基本简介

设弓形AB所对的弧为弧AB,那么:

当弧AB是劣弧时,那么S弓形=S扇形-S△AOB(A、B是弧的端点,O是圆心)。

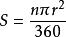
当弧AB是半圆时,那么S弓形=S扇形=1/2S圆=1/2×πr²。

当弧AB是优弧时,那么S弓形=S扇形+S△AOB(A、B是弧的端点,O是圆心)。

计算公式分别是:

当弧image是劣弧时,image

当弧image是半圆时,image

当弧image是优弧时,image

其中,image为弧对应的角度,image为半径,image为弦长,image为三角形的高。

l为弧长,h'为弓形的高。image

图1 劣弧(左)和优弧(右)

证明:

通常,弓形是一个扇形减去一个三角(劣弧弓)或一个扇形加上一个三角(优弧弓)。观察三角形,可以发现这是一个等腰三角。它的两个腰是扇形的半径。弓形的弦长和三角形的底或者说三角形除去两个腰以后的第三条边相同。对劣弧弓来说,三角的高h加上弓形的高h'就是扇形半径;而对于优弧弓,弓形的高h'减去扇形半径r就是三角的高h。

而扇形的面积计算可以采用image。而在三角形中,弓形的弦和三角型的高线以及弓形半径正好构成一个直角三角形。这样就有imageimage(勾股定理)

其中,左式image适用于劣弧弓,右式则适用于优弧弓。左式展开得image。右式展开得image。可以看出左右两式完全一致。从中得出image

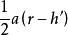
对于劣弧弓,其三角形面积是image;对于优弧弓,其三角形面积是image

对于劣弧弓面积,就是image展开后image

优弧弓面积是image展开后得image