• 1.摘要
  • 2.基本信息
  • 3.基础定义
  • 3.1.归一条件
  • 3.2.归一化导引
  • 4.应用举例
  • 5.薛定谔方程的归一化
  • 6.图像处理中的归一化
  • 6.1.原因
  • 6.2.处理步骤

归一化

物理学术语

归一化(normalization)是一种简化计算的方式,即将有量纲的表达式,经过变换,化为无量纲的表达式,成为标量。 在多种计算中都经常用到这种方法。

基本信息

  • 中文名

    归一化

  • 外文名

    normalization

  • 定义

    简化计算的方式

  • 性质

    标量

  • 研究领域

    物理学

  • 归一条件

    粒子量子态的波函数满足归一条件

基础定义

归一化是一种无量纲处理手段,使物理系统数值的绝对值变成某种相对值关系。简化计算,缩小量值的有效办法。例如,滤波器中各个频率值以截止频率作归一化后,频率都是截止频率的相对值,没有了量纲。阻抗以电源内阻作归一化后,各个阻抗都成了一种相对阻抗值,“欧姆”这个量纲也没有了。等各种运算都结束后,反归一化一切都复原了。信号处理工具箱中经常使用的是nyquist频率,它被定义为采样频率的二分之一,在滤波器的阶数选择和设计中的截止频率均使用nyquist频率进行归一化处理。例如对于一个采样频率为500hz的系统,400hz的归一化频率就为400/500=0.8,归一化频率范围在[0,1]之间。如果将归一化频率转换为角频率,则将归一化频率乘以2*pi,如果将归一化频率转换为hz,则将归一化频率乘以采样频率的一半。

归一条件

在量子力学里,表达粒子的量子态的波函数必须满足归一条件,也就是说,在空间内找到粒子的概率必须等于1。这性质称为归一性。

归一化导引

一般而言,波函数是一个复函数。可是,概率密度是一个实函数,空间内积分和为1,称为概率密度函数。所以在区域内,找到粒子的概率是1。

因为粒子存在于空间,因此在空间内找到粒子概率是1,所以积分于整个空间将得到1。

假若,从解析薛定谔方程而得到的波函数,其概率是有限的,但不等于1,则可以将波函数乘以一个常数,使概率等于1。或者假若波函数内,已经有一个任意常数,可以设定这任意常数的值,使概率等于1。

应用举例

1.复数阻抗可以归一化写为:Z = R + jωL = R(1 + jωL/R)(复数部分变成了纯数了,没有任何量纲)。

2.微波之中也就是电路分析、信号系统、电磁波传输等,有很多运算都可以如此处理,既保证了运算的便捷,又能凸现出物理量的本质含义。

3.在统计学中,归一化的具体作用是归纳统一样本的统计分布性。归一化在0-1之间是统计的概率分布,归一化在-1--+1之间是统计的坐标分布。即该函数在(-∞,+∞)的积分为1。

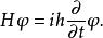
薛定谔方程的归一化

薛定谔方程为

image

其中,H是表征波函数总能量的哈密顿算符,image是物理系统的波函数,i是虚数。h是约化普朗克常数。

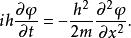
将波函数归一化为。则薛定谔方程成为

image

对于归一化,薛定谔方程是个不变式,因为薛定谔方程是个线性微分方程。