• 1.摘要
  • 2.基本信息
  • 3.简介
  • 4.数学定义
  • 5.求解方法
  • 5.1.精确推理
  • 5.2.随机推理(蒙特卡洛方法)
  • 6.特性
  • 7.贝叶斯网络的应用层面
  • 8.参考资料

贝叶斯网络

贝叶斯网络(Bayesian network),又称信念网络(belief network)或是有向无环图模型(directed acyclic graphical model),是一种概率图型模型。

基本信息

  • 中文名

    贝叶斯网络

  • 外文名

    Bayesian network

  • 本质

    一种概率网络

  • 解释

    基于概率推理的图形化网络

  • 属性

    数学模型

  • 目的

    解决不定性和不完整性问题

简介

贝叶斯网络又称信度网络,是Bayes方法的扩展,是目前不确定知识表达和推理领域最有效的理论模型之一。从1988年由Pearl提出后,已经成为近几年来研究的热点.。一个贝叶斯网络是一个有向无环图(Directed Acyclic Graph,DAG),由代表变量节点及连接这些节点有向边构成。节点代表随机变量,节点间的有向边代表了节点间的互相关系(由父节点指向其子节点),用条件概率进行表达关系强度,没有父节点的用先验概率进行信息表达。节点变量可以是任何问题的抽象,如:测试值,观测现象,意见征询等。适用于表达和分析不确定性和概率性的事件,应用于有条件地依赖多种控制因素的决策,可以从不完全、不精确或不确定的知识或信息中做出推理。1

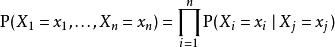
数学定义

令G= (I,E) 表示一个有向无环图(DAG),其中I代表图中所有的节点的集合,而E代表有向连接线段的集合,且令X= (Xi)i∈I为其有向无环图中的某一节点i所代表之随机变量,若节点X的联合概率分布可以表示成:

则称 X 为相对于一有向无环图 G 的贝叶斯网络,其中image表示节点 i 之“因”。

对任意的随机变量,其联合分布可由各自的局部条件概率分布相乘而得出:

依照上式,我们可以将一贝叶斯网络的联合概率分布写成:

image(对每个相对于Xi的“因”变量 Xj而言)

上面两个表示式之差别在于条件概率的部分,在贝叶斯网络中,若已知其“因”变量下,某些节点会与其“因”变量条件独立,只有与“因”变量有关的节点才会有条件概率的存在。

如果联合分布的相依数目很稀少时,使用贝氏函数的方法可以节省相当大的存储器容量。举例而言,若想将10个变量其值皆为0或1存储成一条件概率表型式,一个直观的想法可知我们总共必须要计算image个值;但若这10个变量中无任何变量之相关“因”变量是超过三个以上的话,则贝叶斯网络的条件概率表最多只需计算image个值即可。另一个贝式网上优点在于:对人类而言,它更能轻易地得知各变量间是否条件独立或相依与其局部分布(local distribution)的类型来求得所有随机变量之联合分布。

求解方法

以上例子是一个很简单的贝叶斯网络模型,但是如果当模型很复杂时,这时使用枚举式的方法来求解概率就会变得非常复杂且难以计算,因此必须使用其他的替代方法。一般来说,贝氏概率有以下几种求法:

精确推理

  • 枚举推理法(如上述例子)

  • 变量消元算法(variable elimination)

随机推理(蒙特卡洛方法)

  • 直接取样算法

  • 拒绝取样算法

  • 概似加权算法

  • 马尔可夫链蒙特卡洛算法(Markov chain Monte Carlo algorithm)

在此,以马尔可夫链蒙特卡洛算法为例,又马尔可夫链蒙特卡洛算法的类型很多,故在这里只说明其中一种吉布斯采样的操作步骤: 首先将已给定数值的变量固定,然后将未给定数值的其他变量随意给定一个初始值,接着进入以下迭代步骤: