• 1.摘要
  • 2.基本信息
  • 3.基础定义
  • 4.应用举例
  • 5.静电学
  • 6.逆反问题
  • 7.磁场
  • 8.静电场与磁场
  • 9.相关术语
  • 9.1.高斯定理2
  • 9.2.高斯定理3
  • 10.参考资料

高斯定理

物理学定理

高斯定理(Gauss' law),物理学定理,也称为高斯通量理论(Gauss' flux theorem),或称作散度定理、高斯散度定理、高斯-奥斯特罗格拉德斯基公式、奥氏定理或高-奥公式(通常情况的高斯定理都是指该定理,也有其它同名定理)。

1/2

在静电学中,表明在闭合曲面内的电荷之和与产生的电场在该闭合曲面上的电通量积分之间的关系。 高斯定律(Gauss' law)表明在闭合曲面内的电荷分布与产生的电场之间的关系。高斯定律在静电场情况下类比于应用在磁场学的安培定律,而二者都被集中在麦克斯韦方程组中。因为数学上的相似性,高斯定律也可以应用于其它由平方反比律决定的物理量,例如引力或者辐照度。

基本信息

  • 中文名

    高斯定理

  • 外文名

    Gauss' law

  • 分类

    物理

  • 提出者

    高斯

  • 适用领域

    数学、物理

  • 所属学科

    物理

基础定义

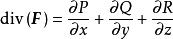
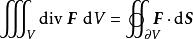
设空间有界闭合区域image,其边界image为分片光滑闭曲面。函数image及其一阶偏导数在image上连续,那么:

image

或记作:

image

其中image的正侧为外侧,imageimage的外法向量的方向余弦

高斯投影

即矢量穿过任意闭合曲面的通量等于矢量的散度对闭合面所包围的体积的积分。它给出了闭曲面积分和相应体积分的积分变换关系,是矢量分析中的重要恒等式,也是研究场的重要公式之一。

应用举例

矢量分析

高斯定理是矢量分析的重要定理之一。它可以被表述为:

image

这式子与坐标系的选取无关。

式中

image

称向量场image的散度(divergence)。

静电学

定理指出:穿过一封闭曲面的电通量与封闭曲面所包围的电荷量成正比:

image