• 1.摘要
  • 2.基本信息
  • 3.性质
  • 4.基本信息
  • 5.坐标系
  • 6.正交投影
  • 7.性质
  • 7.1.对称性
  • 7.2.对偶性
  • 8.历史
  • 9.参考资料

正八面体

正八面体,一种正多面体,也是一种正轴体,面为8个正三角形,八面体的对角面为正方形,共三个,并且两两垂直。交线同样两两垂直。二面角为109°28′16.3″1

正八面体每四条棱可以成为一个正方形,共有三个独立的正方形。

基本信息

  • 中文名

    正八面体

  • 外文名

    regular octahedron

  • 顶点数

    6

  • 边数

    12

  • 面数

    8

  • 应用学科

    几何学

性质

顶点数目:6

边数目:12

面数目:8

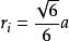
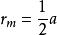
当边长为a时:

表面积:image

体积:image

外接球半径:image(外接球即过正八面体各顶点的球)2

内切球半径:image(内切球即与正八面体各面相切的球)

中交球半径:image(中交球即过正八面体各边中点的球)

基本信息

正八面体
正八面体的一种展开图

正八面体是五种正多面体的第三种,是三维的正轴体,有6个顶点、12条边和8个面。它由八个等边三角形构成,也可以看做上、下两个正方椎体黏合而成,每个正方椎体由四个三角形与一个正方形组成。正八面体的对偶多面体是立方体。

正八面体内嵌在立方体中时,6个顶点分别位于立方体的面心:

正八面体体积 : 立方体体积

=1 : 6

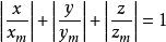
坐标系

以棱长为image的正八面体的几何中心作为原点,将正八面体的对角线作为x,y,z轴建立三维直角坐标系(正八面体的3条对角线两两正交,这也是正八面体被叫做“正轴形”的原因),则我们能将正八面体的顶点坐标记为( ±1, 0, 0 )( 0, ±1, 0 )( 0, 0, ±1 )正八面体表面方程为: |x|+|y|+|z|=1更一般的,如果正八面体的对角线平行于坐标轴,中心为(x0,y0,z0),外接圆半径为r(棱长为image),则正八面体表面方程为: |x-x0|+|y-y0|+|z-z0|=r如果中心在原点的正八面体被拉长,成为菱形体,则更一般的八面体方程为image