根式(radical expression)是数学的基本概念之一,是一种含有开方(求方根)运算的代数式,即含有根号的表达式。
按根指数是偶数还是奇数,根式分别称为偶次根式或奇次根式1。
定义
设正整数
,已知数a,若有数x满足
,则称x为a的n次方根,记为
当n=2时,记为
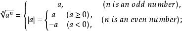
,作为代数式,
称为根式,n称为根指数,a称为根底数。在实数范围内,负数不能开方,一个正数开偶次方有两个根,其绝对值相等,符号相反3。
根式的性质
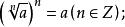
①
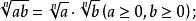
②
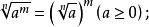
③
④
n次算术根
若
,则称
为a的n次算数根。算术根是唯一的,且是非负数的非负方根3。
同次根式
跟指数相同的根式。只有同次根式才能进行乘、除运算3。
同类根式
被开方数相同、根指数也相同的根式。只有同类根式才能进行加、减运算。
根式的运算法则
①
②
③
④
⑤
其中
.