超热中子活化分析
微型核反应堆中子活化分析,以其灵敏度高、准确度好、精密度高、无试剂空白、分析元素广及操作简单等优点,在卫生、生物学、环境科学中被广泛地应用。
基本信息
- 中文名
超热中子活化分析
- 外文名
Superheated neutron activation analysis
- 全称
微型核反应堆中子活化分析
- 特色
准确度好、精密度高.无试剂空白
- 应用
卫生、生物学、环境科学
基本概念
堆中子活化后,许多种岩石样品产生强的28Al,56Mn,24Na,42K,51Cr,46Sc,59Fe,40La等放射性核素,而多种生物样品则产生强的24Na,42K,32P,38Cl,65Zn等核素。所有上述核素的生成反应都有低的共振积分对热中子截面比。超热中子活化可以大大压低它们的反射性,从而对热中子截面比较高的元素Ga,As,Se,Br,Rb,Sr,Mo,Pd,Ag,Cd,In,Sb,Cs,Ba,Sm,Gd,Tb,Tm,Ta,W,Pt,Au,Th,U等的分析精密度或探测极限有不同程度的改善。
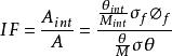
堆中子活化分析中,快中子(n,p),(n,α)阈反应干扰的干扰因子IF,定义为单位质量干扰元素与单位质量待测元素生成的同种核素的放射性比:
式中,
为靶核同位素丰度;M为靶元素原子量;角注“int”意为干扰元(核)素,
和
分别为堆快中子截面和通量;
和
分别为(n,γ)反应的有效截面和通量;A为生成核的比放射性。
活化分析
超热中子活化分析茶叶中的微量砷
砷是茶叶卫生指标中常规检测项目之一,少量摄入可在体内蓄积造成慢性中毒。 茶叶中砷的测定需要预先消化处理,在消化过程中易造成试剂空白值升高,样品中砷的损失,影响测定的结果。微型核反应堆中子活化分析,以其灵敏度高,准确度好,精密度高,无试剂空白,分析元素广及操作简单等优点,在卫生、生物学、环境科学中被广泛地应用。
由于茶叶中含有Na、K、Cl等元素,它在被反应堆热中子照射以后,产生较强的放射性,使砷的测定检出限升高,这就大大影响了砷的测定准确度、精密度。然而这些元素的热中子截面σ0大,超热中子截面I0小,砷则相反,砷的超热中子截面I0大,热中子截面σ0小。
茶叶成分复杂,虽说用镉屏蔽掉大部分的 Na、K,但是样品中仍然有一部分Na、K等元素被活化,它们产生的放射性提高本底影响76As 测定,这时要选择适当的冷却时间进行测量,使24Na、42K的影响降低最低。其次82Br 的 554 Kev 峰也影响76As的 559 Kev峰的测量,如果样品中Br含量较高时,改用76As的另一能量峰658Kev 进行测量。
痕量金标样的超热中子活化分析
金矿是我国急需矿种。在以往找矿工作中,都是通过与金的伴生元素来找矿的,工作量大而收效低,近年来由于痕量金分析技术的进展,直接以痕量金异常来找矿,得到可喜的成绩。随着金矿找矿、勘探工作的蓬勃发展,必然促进地质、地球化学理论的研究,不仅需要找到金异常,还要探索矿床成因,评价岩层的含金性,了解金在各种矿物中的分布直到对已探明金矿的评价,在这一系列工作中,都要求分析痕量金含量,要求方法的检出限达到 PPb量级。
在痕量金分析方法中,无火焰原子吸收、化学光谱和比色分析已作为常规分析方法。但是上述方法都需进行化学预富集处理,在冗长复杂的操作过程中,引入误差的可能性大,同时对1PPb含量范围,方法灵敏度还嫌不够。为此选用了中子活化分析。该法的显著优点是灵敏度高。此外,采用仪器中子活化分析,避免了化学处理中流失及污染。采用放射化学中子活化分析( RNAA )对照射后样品进行化学处理,无试剂污染,回收率也是可测定的。在这批标样的测试数据中,中子活化法的数据占19.5%。 这说明这种方法已在地质工作中起着愈来愈重要的作用。
用超热中子活化分析测定矿石样品中金时,由于超热中子自屏蔽产生的金的减低情况,制备了3种不同金粒度范围的合成金矿样,并分别用热中子活化分析方法和超热中子活化方法分析。3种金粒度的范围即≤53μm、53-150μm和150-250μm合成的矿样,超热中子活化分析结果与热中子活化分析法比较,金分别降低了11%、31%和33%,同时测量金的标准参考矿物的减低因子为5%。