• 1.摘要
  • 2.基本信息
  • 3.基本内容

余切定理

余切定理是三角学中关于三角形内切圆半径的定理。

基本信息

  • 中文名

    余切定理

  • 外文名

    Law of Cotangent

  • 表达式

    cot+角度

  • 应用学科

    三角函数

基本内容

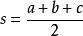
假设α, β, 与γ是三角形的三个内角,a, b, 与c是与之对应的三个对边,若image(这个是三角形的内切圆半径),其中:

image(s就是三角形的半周长),

那么余切定理告诉我们:

还有

总而言之:余切定理就是某个角一半的余切等于半周长减去这个角所对的边长再除以三角形的内切圆半径。