• 1.摘要
  • 2.基本信息
  • 3.合成方法
  • 4.结构特征
  • 5.应用
  • 5.1.氢气储存
  • 5.2.甲烷存储
  • 5.3.摩擦涂层
  • 5.4.催化剂载体
  • 5.5.超级电容器
  • 6.参考资料

碳化物衍生碳

碳化物衍生碳12是以碳化物为前驱体,设法去除晶格中的金属原子或非金属原子,剩下骨架碳结构,从而得到的一种新型碳材料。碳化物作为前驱体,其中的金属原子被逐层去除,可以通过调控反应过程中的温度、气氛成分、反应时间等参数,实现纳米尺度的调控,得到具有不同结构的CDC涂层、块体或粉末。

基本信息

  • 中文名

    碳化物衍生碳

  • 外文名

    Carbide-derived carbon(CDC)

合成方法

CDC的合成主要是设法去除碳化物中的非碳原子,使剩余碳原子弛豫形成一种纳米骨架碳复合材料。具体的合成方法主要有以下几种方法:

卤素蚀刻法

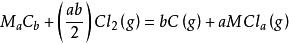
卤素蚀刻法是将碳化物置于卤素或一些卤素化合物气氛中,在一定温度下(通常为200 ℃以上,根据不同的碳化物前驱物选择不同的温度),碳化物中的金属原子以卤化物的形式被逐层去除,根据反映时间和深度的不同,最终得到纯净的碳化物衍生碳或者涂层。以氯气和作为刻蚀剂为例,碳化物衍生碳的合成反应如式:

image

碳化物前躯体可以为:B4C、TiC、ZrC、Ti3SiC2、FeC3、Ti2AlC、SiC、Mo2C等二十多种。该方法所需压力、温度适中,设备简单,且可通过调控温度和刻蚀剂浓度控制反应速率,所得产物纯净,无需后续处理。所使用的卤素气体刻蚀剂为剧毒气体,尾气需用NaOH溶液吸收处理。

热解法

碳化硅以及其它的一些碳化物能够在高温下分解。在真空或者惰性气体环境下,高温使碳化物发生热解,由于高温下碳的蒸汽压低于一般金属,金属原子以蒸汽形式分离,从而只剩下碳原子。

超临界水法

超临界水法又称水热法或热液法,所谓超临界水,是指当气压和温度达到一定值时,因高温而膨胀的水的密度和因高压而被压缩的水蒸气的密度正好相同时的水。此时,水的液体和气体便没有区别,完全交融在一起,成为一种新的呈现高压高温状态的液体,具有极强的氧化能力,将需要处理的物质放入超临界水中,充入氧和过氧化氢,该物质将被氧化和水解。

碳化钙无机盐反应法

碳化钙可以与一些金属盐发生交换反应,产物为钙盐和不稳定的类盐碳化物,类盐碳化物最终分解为碳和游离态的金属,常用的金属盐有MgCl和NaCl。

结构特征

碳化物衍生碳多为多孔无定形碳和多孔网状石墨带结构,并具有高的比表面(>2000 m g),其孔径大小和分布可通过改变反应参数(温度、气氛、时间等)和碳化物种类进行调控,除此之外,在CDC中发现其结构中几乎包括所有碳结构:无定型碳、石墨、碳纳米洋葱、纳米金刚石、碳纳米管、石墨烯等。

应用

CDC高的比表面,可调控的孔径及分布,以及多样的结构特征,使其具有广阔的应用前景。

氢气储存

氢能源产业未来的发展与成功主要依附于廉价、高储氢容量的高新储氢材料的发展。氢在材料中的存储主要为以下三种方式:a. 物理吸附,例如多孔碳材料和沸石;b. 化学吸附,例如金属氢化物;c. 化学反应。这要求储氢材料具有多孔性质,使得氢气能够与材料接触,充分利用材料的表面,从而氢气能够在材料表面快速的吸脱附,以达到高效储氢的目的。有望或已经用于储氢的材料有:纳米储氢材料、合金储氢材料、液态有机储氢材料。碳材料由于其轻量、低成本、环保等优势而得到更多的关注。与其他多孔碳材料相比,通过改变合成参数(碳化物类型、合成温度、反应时间等)可以调控碳化物衍生碳的孔形状、孔径大小和分布、表面状态以及碳结构,这使得碳化物衍生碳在储氢方面有跟大的优势。

甲烷存储