• 1.摘要
  • 2.基本信息
  • 3.基础定义
  • 4.推导过程
  • 5.相关事物
  • 6.影响意义
  • 7.参考资料

开普勒第一定律

物理学科开普勒第一定律

开普勒第一定律,也称椭圆定律、轨道定律、行星定律。

1/3

每一行星沿各自的椭圆轨道环绕太阳,而太阳则处在椭圆的一个焦点上。开普勒第一定律是由德国天文学家约翰尼斯·开普勒提出的。在此定律以前,人们认为天体的运行轨道是:“完美的圆形”.

基本信息

  • 中文名

    开普勒第一定律

  • 外文名

    The elliptical law

  • 别称

    椭圆定律轨道定律行星定律

  • 提出者

    约翰尼斯·开普勒(Johanns Ke-pler)

  • 应用学科

    物理学天文学

  • 提出时间

    1609年

基础定义

开普勒在《宇宙和谐论》发表的表述:每一个行星都沿各自的椭圆轨道环绕太阳,而太阳则处在椭圆的一个焦点中。1

推导过程

注意:以下式子并不是开普勒推导出的。开普勒在观测中正确地阐明了火星运动的轨道定律,但是未能运用数学加以证明他的结论的普适性。也就是:开普勒本人并未就第一定律进行数学推导,这些推导是牛顿完成的。

证明:(r是行星相对于太阳的位移矢量)

设定

这样,角速度是

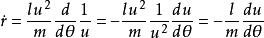
对时间微分和对角度微分有如下关系:

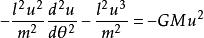
根据上述关系,径向距离 对时间的导数为:

image

再求一次导数:

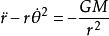
代入径向运动方程image

image

将此方程除以image,则可得到一个简单的常系数非齐次线性全微分方程来描述行星轨道: