• 1.摘要
  • 2.基本信息
  • 3.工作特征模型
  • 4.工作特征模型图分析
  • 5.工作特征模型图分析建议
  • 6.参考资料

工作特征模型

工作特征模型是衡量一种工作方法对员工激励作用程度的工具。美国哈佛大学哈克曼与奥德汉姆于1976年提出。主要论点是:一个工作的五个核心工作特征影响个人的三种关键的心理状态,后者又影响个人的激励水平并进而影响其工作绩效,个体差异对这两种因果关系起调节作用(如图)。三种心理状态包括:(1)感受到的工作的意义;(2)感受到个人对工作结果负有责任;(3)对工作结果的知晓。五个核心工作特征包括:技能多样性、任务一致性、任务重要性、工作自主权和工作反馈。个体差异是指能力(竞争力)、成长需求的强度、对环境因素的满意度等方面的差异1

基本信息

  • 中文名

    工作特征模型

  • 别称

    五因子工作特征理论

  • 核心内容

    技能的多样性等

  • 拼音

    gongzuotezhengmoxing

工作特征模型

它是工作丰富化的核心。模型认为我们可以把一个工作按照它与核心维度的相似性或者差异性来描述,于是按照模型中的实施方法丰富化了的工作就具有高水平的核心维度,并可由此而创造出高水平的的心理状态和工作成果。

工作特征模型的核心内容(维度)是:

1)技能的多样性(skill Variety):也就是完成一项工作涉及的范围。包括各种技能和能力。

2)工作的完整性任务同一性(task Identity):即在多大程度上工作需要作为一个整体来完成——从工作的开始到完成并取得明显的成果。

3)任务的重要性(task Significance):即自己的工作在多大程度上影响其他人的工作或生活——不论是在组织内还是在工作环境外。

4)自主性(Autonomy):即工作在多大程度上允许自由、独立,以及在具体工作中个人制定计划和执行计划时的自主范围。

5)反馈性(Feedback):即员工能及时明确地知道他所从事的工作的绩效及其效率。

理查德·哈克曼(Richard Hackman)和格雷格·奥尔德汉姆(Greg Oldham)设计的动机与五因子的关系方程为:image

根据这一模型,一个工作岗位可以让员工产生三种心理状态即:感受到工作的意义,感受到工作的责任和了解到工作的结果。这些心理状态又可以影响到个人和工作的结果即:内在工作动力、绩效水平、工作满足感、缺勤率和离职率等,从而给以员工内在的激励,使员工以自我奖励为基础的自我激励产生积极循环。工作特征模型强调的是员工与工作岗位之间的心理上的相互作用,并且强调最好的岗位设计应该给员工以内在的激励。

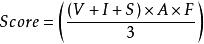
从上述五个核心维度可以得出一个预测性指标,即激励潜能分数(Motivating Potential Score,MPS)

MPS=[(技能多样性+任务完整性+任务重要性)/3]×自主性×反馈

工作特征模型图分析

下图给出了这一模型前三个纬度共同创造出有意义的工作。拥有自主性的职务会给任职者带来一种对工作结果的个人责任感,如果职务能提供反馈,则员工就会知道自己所进行的工作效果如何。

工作特征模型

工作特征模型体现了人本主义的管理方法,重视工作中人的因索。力图使其最大化。根据模型,如果员工能体验到关键心理状态,他们就能得到积极的个人和工作结果,而关键心理状态是由核心工作特征引起的。内在工作动机是个人为了在工作中表现的更好,自己对自己的激励。在工作中表现好时,个人会产生积极的内部体验。一般工作满意度是员工对自己工作的满意程度。成长满意度是个体在工作中是否有机会发展自己的满意程度。以上就是个人和工作结果中所包含的变量。因为不同的工作对工作效率有不同的要求.所以在这里没有对它做出定义。

关键心理状态有三个成分。体验到工作有意义,就是员工认为自己所做的工作是有价值的、重要的和值得做的;体验到对工作结果的责任,就是员工感到他们对完成的工作承担个人责任和义务的程度;关于工作结果的信息,就是了解他们在工作中表现如何。从模型来看,员工要体验到工作有意义,他的工作必须具有技能多样性、任务完整性和任务重要性这三个特征。技能多样性是为了完成工作需要用到的技能和能力的数量及知识范围的大小;任务完整性是指所做的工作有无明显的起点和终点。这个工作单元有多完整;任务重要性包括内部重要性即它对组织的重要性和外部重要性即对组织外的人产生影响的太小。要体验到对工作结果的责任,工作要具有自主性的特征也就是工作的独立性,即员工在安排自己的工作、决策或者决定达到目标的途径时能有多大的自由度和控制力。来自工作的反馈直接导致了员工对工作结果的认识,反馈是关于绩效的客观信息,它来源于工作本身。

模型还包括了调节变量,他们对核心工作特征和关键心理状态及个人工作结果都产生影响。调节变量包括:成长需要的强度,员工想通过学习来靛展和超越自己,就是自我实现的需要;薪酬满意度,就是对基本工资和奖金的满意程度,也包括组织是否根据个人对组织的贡献大小来给予相应的奖励;安全满意度,是对工作环境中的安全条件和工作是否稳定的满意程度;同事漏意度,就是对在工作中与自己有接触的人是否满意,是否有机会来了解和帮助他们;主管满意度.就是对主管的工作方式、提供的指导及支持是否满意;技能和知识会根据工作而有所不同,因此没有特殊的说明。

正如上面模型所显示的,职务纬度与这些结果变量之间的联系,受到个人成长需要强度的中和与调整。从激励的角度,职务模型指出要是一个人知道(对结果的了解)他个人(责任感的体验)在其关注(有意义的体验)的任务上完成的很好,那么,他会获得一种内在的激励。职务愈是具备这三个条件,员工的动机、绩效和满意感就会愈强,而旷工和辞职的可能性会越小。