• 1.摘要
  • 2.基本信息
  • 3.基本定义
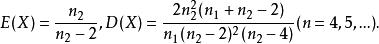
  • 4.性质
  • 5.参考资料

f分布

统计学术语

F分布是1924年英国统计学家R.A.Fisher提出,并以其姓氏的第一个字母命名的。它是一种非对称分布,有两个自由度,且位置不可互换。F分布有着广泛的应用,如在方差分析、回归方程的显著性检验中都有着重要的地位1

基本信息

  • 中文名

    F分布

  • 外文名

    F-distribution

  • 领域

    统计学

  • 提出者

    R.A.Fisher2

  • 提出时间

    1924

  • 特性

    非对称分布

基本定义

若总体imageimageimage为来自X的两个独立样本,设统计量

f分布

则称统计量F服从自由度imageimage的F分布,记为image

image分布的概率密度为

f分布

image分布的概率密度函数图像如图1所示

图1

若总体image与总体image独立,image为来自X的一个样本,image为来自Y的一个样本,则统计量

f分布

则称统计量F服从自由度为imageimage,非中心参数为image的非中心F分布,记为image

性质

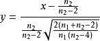
性质1:image

性质2: 设image,则image

性质3:设image,则image

性质4:image分布的分布函数可用标准正态分布的分布函数来逼近。即

f分布

其中,image(imageimage充分大)。

性质5: 若总体imageimage独立,image为来自X的一个样本,image为来自Y的一个样本,image为已知参数。则统计量