• 1.摘要
  • 2.基本信息
  • 3.概念
  • 4.计算公式
  • 5.参考资料

价差预备费

经济学术语

价差预备费是指为在建设期内利率、汇率或价格等因素的变化而预留的可能增加的费用,亦称为价格变动不可预见费。

基本信息

  • 中文名

    价差预备费

  • 外文名

    Escalation1

概念

价差预备费的内容包括:人工、设备、材料、施工机械的价差费,建筑安装工程费及工程建设其他费用调整,利率、汇率调整等增加的费用。

价差预备费一般根据国家规定的投资综合价格指数,按照估算年份价格水平的投资额为基数,采用复利方法计算。

计算公式

1/3

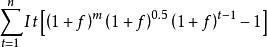
价差预备费公式: PF=image

PF:价差预备费

n :建设期年份数

It :建设期第t年的静态投资额

f:年涨价率

m:建设前期年限(从编制投资估算到开工建设,单位:年)

年涨价率,政府部门有规定的按规定执行,没有规定的由可行性研究人员预测。

参考资料

  • 1
    价差预备费术语在线(引用日期 2022-06-13)