• 1.摘要
  • 2.基本信息
  • 3.简介
  • 4.定义
  • 5.性质
  • 5.1.调和数列的前n项和不是整数
  • 5.2.调和级数发散
  • 6.参考资料

调和数列

调和级数是各项倒数为等差数列的级数,各项倒数所成的数列(不改变次序)为等差数列。从第2项起,它的每一项是前后相邻两项的调和平均,故名调和级数。

基本信息

  • 中文名

    调和数列

  • 外文名

    harmonic series

  • 应用学科

    数学

简介

调和级数是各项倒数为等差数列的级数,通常指项级数

各项倒数所成的数列(不改变次序)为等差数列。从第2项起,它的每一项是前后相邻两项的调和平均,故名调和级数。

推而广之,具有这种性质的每一个级数,即形如

的级数也称为调和级数,其中 a,b 是常数. 调和级数是发散的,但其部分和

增长极慢。

欧拉 (Euler,L.) 计算过imageimage是等价无穷大,更准确地,有image,其中 C=0.557 215... 是欧拉常数,image。这是欧拉于1740 年发现的,更一般地,级数

称为广义调和级数,亦简称调和级数,它的通俗名称是 p 级数,当 p>1 时收敛,p<=1 时发散。1

定义

定义1:正整数的倒数组成的数列,称为调和数列。

定义2:若数列image满足image(n∈N*,d为常数),则称数列image调和数列。

性质

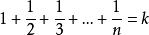
调和数列的前n项和不是整数

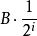
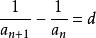
对任意正整数n∈N,有image不是整数。

证明:若不然,则令image(k∈Z)。考察正整数image,使得image,由整数的唯一分解性,对任意整数imageimage,其中image(事实上当且仅当image时等号取得,若不然则有image,矛盾!)。令image为1—n最小公倍数,则有image为偶数(因为B中显然有因子2),但image为奇数(因为B中最多只有image个因子2),image为偶数(因为image)。故有image为奇数但image为偶数,矛盾!所以假设不成立,image非整。