• 1.摘要
  • 2.基本信息
  • 3.常高斯曲率的曲面
  • 3.1.基本介绍
  • 3.2.伪球面
  • 4.常平均曲率曲面
  • 5.参考资料

常曲率曲面

常曲率曲面有常高斯曲率曲面和常平均曲率曲面。一般常曲率曲面指的是常高斯曲率曲面。

一个高斯曲率在各点上均取相同值的曲面,我们称这曲面为常高斯曲率的曲面。例如,平面就是一个常曲率k=0的曲面;球面则是一个具有常正曲率的曲面之例(但不是唯一的常正曲率曲面); 伪球则是具有常负曲率曲面之例(也非唯一的)。

常平均曲率曲面(surfaces with constant mean curvature)是一类重要的曲面,它是平均曲率H为常数的曲面。例如,球面是常平均曲率曲面,此外,将一椭圆在其平面内一条定直线l上滚动,其焦点所画出的平面曲面C绕直线l旋转所生成的旋转曲面也是常平均曲率曲面。

基本信息

  • 中文名

    常曲率曲面

  • 外文名

    surfaces with constant curvature

  • 所属学科

    数学(微分几何学)

  • 相关概念

    高斯曲率伪球面平均曲率等

常高斯曲率的曲面

基本介绍

常高斯曲率的曲面(surfaces with constant Gauss curvature)是一类重要的曲面,它是高斯曲率K为常数的曲面。在曲面上选择适当的参数系image,可以使:

image时,image

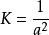
image时,image

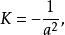
image时,image

因为有相同常高斯曲率的曲面在局部上总是等距等价的,所以,K=0的曲面在局部上都与平面等距等价的;image的曲面在局部上都与半径为a的球面等距等价;image的曲面在局部上都与伪球面等距等价1

伪球面

重物置于一直道之外,人用绳拖此重物并沿直道向前走时重物所经过的轨迹线叫曳物线。将此曳物线绕直道为轴旋转一周后所形成的曲面称为“伪球面”。罗巴切夫斯基等所发现的非欧几何学可以在某种意义下在伪球面上实现2

图1

伪球面(pseudo-sphere)是一类重要的曲面,它是高斯曲率为负常数的曲面,它是image平面上的曳物线

绕z轴旋转而成的曲面:

它在u=0的点处是不光滑的,因而是非正则的。在正则点,其高斯曲率为image它可以作为罗氏几何的一个模型1

常平均曲率曲面