• 1.摘要
  • 2.基本信息
  • 3.简介
  • 4.定律定义

空位浓度

基本信息

  • 中文名

    空位浓度

  • 外文名

    vacancy concentration

  • 应用学科

    材料学科

简介

在晶体中,空位并非固定不变,它处于不断的产生和消失过程中,在晶体中,空位的数量通常用“空位浓度”衡量。指的是晶体中空位总数和结点总数的比值。根据统计热力学原理。空位浓度决定于温度,一定的温度对应于一定的平衡空位浓度。空位可以是在材料生产过程中形成,也可以是有其他离子或电子注入形成。

定律定义

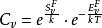
在热平衡状态下,温度为T时,空位的份额浓度为image,其中,k是玻尔兹曼常数;image表示空位的附加熵;image表示空位的形成能。

在离子注入材料形成空洞时,空洞表面的空位浓度可以表示为imageimage表示气泡的平衡浓度;p表示气泡的压力;image表示气泡的表面能;r为气泡的半径;T为温度;k为波尔兹曼常数;是点阵原子的体积。