阿贝尔定理
阿贝尔定理:
1.如果幂级数在点x0处(x0不等于0)收敛,则对于适合不等式|x|<|x0|的一切x使这幂级数绝对收敛。
2.反之,如果幂级数在点x1处发散,则对于适合不等式|x|>|x1|的一切x使这幂级数发散。
基本信息
- 中文名
阿贝尔定理
- 外文名
Abel Theorem
- 提出者
阿贝尔
- 提出时间
19世纪
- 应用学科
数学
- 适用领域范围
幂级数
定理定义
这个公式公布不到两年,卡当的学生费拉里就找到了四次方程的求根公式。当时数学家们非常乐观,以为马上就可以写出五次方程、六次方程,甚至更高次方程的求根公式了。然而,时光流逝了几百年,谁也找不出这样的求根公式。
这样的求根公式究竟有没有呢?年轻的挪威数学家阿贝尔做出了回答:“没有。”阿贝尔从理论上予以证明,无论怎样用加、减、乘、除及开方运算,无论将方程的系数怎样排列,它都决不可能是一般五次方程的求根公式。
阿贝尔率先解决了这个引人瞩目的难题.所以成为阿贝尔定理
定理1(阿贝尔第一定理)
(1)若幂级数①
在
收敛
,则幂级数①在
都绝对收敛。
(2)若幂级数①
在
发散,
,则幂级数①在
都发散。
定理推广
如果幂级数
不是仅在
一点收敛,也不是在整个数轴上都收敛,那么必有一个确定的正数
存在,使得
当
时,幂级数绝对收敛;
当
时,幂级数发散;
当
时,幂级数可能收敛也可能发散。
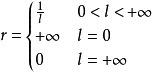
定理2
有幂级数①,即
,若
![]()
则幂级数①的收敛半径为
定理3(阿贝尔第二定理)
若幂级数①的收敛半径
,则幂级数①在任意闭区间
都一致收敛。
性质1