魔方
6一项智力运动
魔方(英文名:Rubik's Cube)又叫鲁比克方块, 是由匈牙利建筑学教授暨雕塑家鲁比克·艾尔内于1974年发明的机械益智玩具,与华容道、独立钻石棋一起被国外智力专家并称为智力游戏界的三大不可思议。魔方拥有竞速、盲拧、单拧等多种玩法,风靡程度至今未衰,每年都会举办大小赛事1,是最受欢迎的智力游戏之一。
1/4
基本信息
- 中文名
魔方
- 外文名
Rubik's Cube
- 别名
魔术方块、鲁比克方块、扭计骰
- 发明人
- 发明时间
1974年
变化总数
三阶魔方总的变化数为43,252,003,274,489,856,000。或者约等于4.3X10^19。
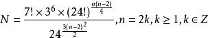
n(≥2)阶魔方的变化总数:

11阶魔方

之所以要分奇偶性,是因为偶数没有中心,这个中心包括中心棱和面中心,如果你是魔方玩家,应该很清楚这点。事实上只要掌握3,4,5阶的推导方式,就不难推导n阶的变化总数,比较关键的是,心块:每个面的心块要分成若干个等价位置组,每个组包含四个心块;棱块,要分为边棱和中心棱。
以下是较常见正阶魔方的变化总数:
2阶魔方变化总数是3.67*10^6
3阶魔方变化总数是4.3*10^19
4阶魔方变化总数是7.4*10^45
魔方变化总数计算公式
5阶魔方变化总数是2.8*10^74
6阶魔方变化总数是1.57*10^116
7阶魔方变化总数是1.95*10^160
8阶魔方变化总数是3.5*10^217
9阶魔方变化总数是1.4*10^277
10阶魔方变化总数是8.298*10^349