• 1.摘要
  • 2.基本信息
  • 3.基本内容

Ursell数

Ursell数表达式

基本信息

  • 中文名

    厄塞尔数

  • 外文名

    Ursell Number

  • 表达式

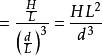
    U=HL^2/d^3

  • 提出者

    Fritz Ursell

  • 提出时间

    1953

  • 应用学科

    流体力学 波浪力学

基本内容

Ursell数Ursell number)是流体动力学中的无量纲,表示流体层中长的表面重力波的非线性程度,得名自1953年发现此重要性的Fritz Ursell。Ursell 数来自于对Stocks波的展开。当波长远大于水深时, Ursell数U定义为U=波陡/相对深度image。因此,U也是相对波高image乘相对波长image的平方。

H:波高。

L:波长。这里 L>>H。

d:平均水深。

对于具有小Ursell数的长波(L>>d),U≈32π2/3≈100,线性波理论是适用的。否则(并且最常见的)必须使用非常长波(L> 7 d)的非线性理论, 如Korteweg-de Vries方程或布辛尼斯克(Boussinesq)方程。