在空间中,由平行于定方向且与一条定曲线相交的一族平行直线所生成的曲面叫做柱面。二次柱面是一种特殊的柱面,它的方程是二次的。常见的二次柱面主要包括:椭圆柱面、双曲柱面、抛物柱面等。
定义
二次柱面是一类特殊曲面,它是指方程为二次的柱面。在空间直角坐标系中图形分别称为椭圆柱面、双曲柱面、抛物柱面(如图),统称二次柱面。它们的母线平行于z轴,准线是在Oxy平面上的椭圆、双曲线、抛物线。
基本知识点
1.柱面:平行于某方向v且与定曲线τ相交的所有直线构成的曲面叫做柱面。
2.准线:曲线τ称为柱面的准线。
3.母线:构成柱面的每一条直线叫做母线。1
常见二次柱面
圆柱面
1.圆柱面的方程是:
。它的母线平行于Z轴,准线是XOY平面上以同样方程表示的圆。2
2.圆柱面的图形如下图所示:

图1 圆柱面
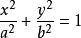
椭圆柱面
1.椭圆柱面的方程是:
。3它的母线平行于Z轴,准线是XOY平面上以O为中心,a,b为半轴的椭圆。特别的,当a=b时,成为圆柱面。2
2.椭圆柱面的图形如下图所示:

图2. 椭圆柱面
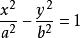
双曲柱面
1.双曲柱面的方程是:
。3它的母线平行于Z轴,准线是XOY平面上以同样方程表示的双曲线。2
2.双曲柱面的图形如下图所示:

图3 双曲柱面