• 1.摘要
  • 2.基本信息
  • 3.基本介绍
  • 4.两种劈锥曲面
  • 4.1.抛物劈锥曲面
  • 4.2.圆劈锥曲面
  • 5.参考资料

劈锥曲面

设A为与三维向量空间E相关联的仿射空间,D为A的仿射直线,P为E的平面,称与D相交且平行于P的仿射直线的并所构成的曲面C为以D为轴以P为方向平面的劈锥曲面(conoid)。这些直线称为C的母线,称与C的所有母线相交而不与D相交的曲线为C的准线,当A为欧几里得空间且D垂直于P时,称劈锥曲面C是正劈锥曲面1

基本信息

  • 中文名

    劈锥曲面

  • 外文名

    conoid

  • 性质

    一种曲面

  • 所属学科

    数学(立体几何)

  • 分类

    抛物劈锥曲面圆劈锥曲面

基本介绍

定义1劈锥曲面是曲面的一种,给定直线a,平面N内的曲线C,平面M,且a∥N,a和M相交,则满足下述条件的动直线的轨迹称为劈锥曲面(如图1):

图1

1.动直线平行于平面M;

2.动直线与直线a,曲线C均相交。

其中,定直线a、定曲线C、定平面M分别称为劈锥曲面的导向直线导向曲线导向平面。动直线称为劈锥曲面的母线,劈锥曲面被导向直线分成的两部分,称为劈锥曲面的两叶(图中只画出劈锥曲面的一叶);劈锥曲面的每一叶,称为半劈锥曲面2

定义2劈锥曲面是一种曲面,它是由一条平行于已知平面(方向平面)且和已知直线(方向直线)以及已知曲线(方向曲线)相交的直线运动而生成的;当方向曲线为平面曲线时,该方向曲线不得在方向平面上,劈锥曲面是直纹曲面。例如,正螺旋面就是一种劈锥曲面,其方向平面垂直于其轴线,方向曲线——螺旋线,而方向直线——旋转轴3

两种劈锥曲面

图2

项点为image,直纹曲面由准曲线image(圆),准直线image(平行于image轴的直线),和准平面image(image平面) 确定。

项点为image,直纹曲面由准曲线image(抛物线),准直线image(平行于image轴的直线) 和准平面image(image平面) 确定。

抛物劈锥曲面

移动直线image形成劈锥曲面。是将image保持同参考平面image平行,把母线image的一端image沿着平面曲线image移动,另一端image沿着直线image移动,如图3所示。平面曲线ABC和直线DOE不但垂直于参考平面 AFGD,而且以DE的中点O为坐标轴原点,则平面曲线的方程必定只是image的函数。那么,对任一常数值image的母线image的方程,可用一常数去乘image得到。

因此,可把整个曲面定义为

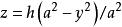
如果平面曲线是抛物线,即

那么这种曲面被定义为抛物劈锥曲面,可表示为

式中,imageimage是抛物线的弦高,如图3所示4

图3 典型的抛物劈锥曲面