• 1.摘要
  • 2.基本信息
  • 3.简介
  • 4.均匀分散序列
  • 5.判定
  • 6.点列
  • 7.参考资料

插值序列

插值序列是单位圆内满足某种函数论条件的点列。1958年,卡尔松(Carleson,L.)证明了{zk}是插值序列的充分必要条件是:{zk}是均匀分散的。

基本信息

  • 中文名

    插值序列

  • 外文名

    interpolation sequence

  • 适用范围

    数理科学

简介

插值序列是单位圆内满足某种函数论条件的点列。

单位圆盘一序列{zk}称为插值序列,如果对任意一个复数序列{wk}⊂l∞,存在f∈H∞,使得f(zk)=wk(k=1,2,...}。

均匀分散序列

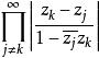
讨论插值序列,有一个有用概念是均匀分散序列。

序列{zk}称为均匀分散的,若存在常数δ>0,使得image

判定

1958年,卡尔松(Carleson,L.)证明了{zk}是插值序列的充分必要条件是:{zk}是均匀分散的。1

点列

(range of points)

点列是射影几何的基本概念之一,指一条直线上所有点的集合。该直线称为点列的底,以image为底,以点A,B,C,…为元素的点列记为

参考资料

  • 1
    《数学辞海》总编辑委员会《数学辞海》第3卷东南大学出版社2002