• 1.摘要
  • 2.基本信息
  • 3.定义
  • 4.普朗特积分微分方程
  • 5.参考资料

积分微分方程

积分微分方程是一类未知函数同时出现在积分和微分号下的方程。

基本信息

  • 中文名

    积分微分方程

  • 外文名

    integro–differential equation

  • 适用范围

    数理科学

定义

如果一个方程中,不仅出现未知函数的导数,而且未知函数或其导数还出现在积分号下面,这样的方程就称为积分微分方程。在扩散和辐射等物理问题中会碰到这种方程。1

普朗特积分微分方程

【Prandtl integro-differential equation】

普朗特积分微分方程是有限翼展的飞机机翼的基本微分方程。

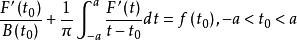
在推导普朗特积分方程时,假设机翼的每个元处于绕翼的平面平行流体中,得到的方程具有形式image,其中,F是未知函数,B和f是给定函数,B(t)=cb(t),f(t)=vω(t),广义积分理解为柯西主值的意义。

在方程中出现的量的物理意义如下:2a是机翼的翼展,它假定相对yz平面是对称的且z轴方向与无穷远处气流方向相重合,b(x)代表对于横坐标x的翼剖面翼弦,F(x)是该剖面周围气流的环流,c是常数,v是无穷气流的速度,ω是依赖于剖面曲率和机翼扭曲的函数。

普朗特积分微分方程只是在非严格意义的假设下才能以封闭形式求解。在一般情况下,它可以转化为弗雷德霍姆积分方程。

参考资料

  • 1
    王元,文兰,陈木法数学大辞典科学出版社2010