施瓦兹引理
数学上,施瓦兹引理是复分析关于定义在单位开圆盘的全纯函数的一个结果,以赫尔曼·阿曼杜斯·施瓦茨为名。
基本信息
- 中文名
施瓦兹引理
- 外文名
Schwarz lemma
- 分类
数理科学
- 应用范围
数学定理
简介
设
为复平面中的开圆盘,如果
1.
是全纯函数;
2.
;
3.
。
那么对所有在
中的
,
成立,且
。如果等式
对某个不为0的z0成立,或
,那么
是一个旋转:
,其中
。
这引理不及其他结果有名(例如黎曼映射定理,其证明有用到这引理),但却是能显示全纯函数的严格性的一个简单结果。对于实函数则没有类似的结果。
证明
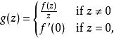
设

函数
在
内全纯,由于f(0) = 0且f是全纯函数。设Dr为D内一个半径为r的闭圆盘。根据最大模原理,有:
对于所有Dr内的z和所有Dr的边界上的zr。当r趋于1时,我们便有|g(z)| ≤ 1。
而且,如果在
内存在某个不为0的z0,使得g(z0) = 1,那么把最大模原理应用于g,可得g是常数,因此f(z) =kz,其中k是常数且|k| = 1。这在当|f'(0)| = 1时也是正确的。
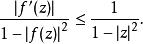
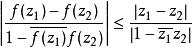
施瓦兹—皮克定理
施瓦茨引理有一个版本是在单位圆盘的解析自同构(即单位圆盘的全纯双射)下不变。这称为施瓦茨-皮克定理。
设
全纯。那么,对所有
,
,
还有,对
,
。