平面上一定点(-a,0),如果由这一点向y轴引射线交于P点,并在这射线上取两点M1、M2,使PM1=PM2=PO,则M1、M2点的轨迹就叫做环索线,它的普通方程是:y2(x-a)+x2(x+a)=0,(a>0)。
定义
自定点任意引一直在此直线上截取一点P,使点P到此直线与Y轴的交点B的距离等于B到原点的距离。则点P的轨迹称为环索线(stropboid)1。

图1
环索线的方程
直角坐标方程
设定点A的坐标为
,环索线的直角坐标方程为
极坐标方程
环索线的参数方程为
其中
,极坐标方程为
曲线的顶点为
,二重点
,渐近线
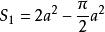
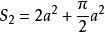
。圈套所围的面积
。曲线与渐近线之间的面积:
。
环索线有关名词简介

图2 环索线
①极点
如A点;
②结点
如
;
③极轴
如
(亦为环索线的对称轴);
④动径
如
;