• 1.摘要
  • 2.基本信息
  • 3.定义
  • 4.线段的表示
  • 5.例题解析
  • 6.参考资料

径向量

径向量(radius vector)亦称向径,又称径矢,一种特殊向量。以原点O为起点,以点M(x,y,z)为终点的向量称做径向量,记作r(M),或简记作r。由于径向量的坐标与其终点M的坐标相同,所以它按基本向量的分解为1r=xi+yj+zk

基本信息

  • 中文名

    径向量

  • 外文名

    radius vector

  • 所属领域

    数学(空间解析几何)

  • 别名

    向径径矢

定义

径向量(radius vector)亦称向径,又称径矢。一种特殊向量,指始点在坐标原点O的向量,向径image又称为点P的位置向量,常以p表示点P的位置向量,这样,点与位置向量有一一对应的关系2

以原点O为起点,以点M(x,y,z)为终点的向量image称做径向量,记作image,或简记作image。由于径向量的坐标与其终点M的坐标相同,所以它按基本向量的分解为1

线段的表示

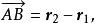
以点image为起点而以点image为终点的向量image可以表示为:image其中r2是B点的径向量,而r1是A点的径向量,因此向量image按基本向量的分解为1

向量image的长度等于A与B两点之间的距离:

根据前面的公式,向量image的方向决定于它的方向余弦:

例题解析

例1】三角形ABC的AB边被点M、N分成三等份,image。设image试求向量image

解:image从而image因为image

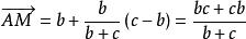
例2】直线AM是三角形ABC中∠BAC的平分线,而M位于BC边上,设imageimage

解:image由三角形之内角平分线的性质,知有imageimage由此得image因为image所以image

例3imageimage为三角形ABC顶点的径向量,求三角形之中线交点的径向量。1

解:image(D是BC边的中点);image(M是中线的交点),所以image于是