• 1.摘要
  • 2.基本信息
  • 3.基本内容
  • 4.差别感觉阈
  • 5.绝对感觉阈
  • 6.参考资料

差别感觉阈值

在刺激物引起感觉之后,人体能否感觉到刺激强度的微小变化,这就是差别敏感性的问题。以重量感觉为例,把100g的砝码放在手上,若加上1g或减去1g,一般是感觉不出来重量变化的。根据实验,只有重量增减达到3g时才刚刚能够察觉到变化,即3g为重量感觉在100g情况下的差别感觉阈值。把这种刚刚能引起差别感觉刺激的最小变化量,称为差别感觉阈值或差别阈。

基本信息

  • 中文名

    差别感觉阈值

  • 外文名

    differential threshold

基本内容

感觉的产生需要有适当的刺激存在。所谓适当的刺激是指能够引起感受器有效反应的刺激,刺激强度太小不能引起感受体的有效反应,而刺激强度太大则反应过于强烈而失去感觉,这两种情况都产生不了感觉。各种感觉都有一个感受体所能接受的外界刺激变化范围,感觉阈是指感官所能接受范围的上下限和对这个范围内最微小变化感觉的灵敏度。

依照测量技术和目的的不同,可以将各种感觉的感觉阈分为绝对阈和相对阈两种。

差别感觉阈

在刺激物引起感觉之后,人体能否感觉到刺激强度的微小变化,这就是差别敏感性的问题。以重量感觉为例,把100g的砝码放在手上,若加上1g或减去1g,一般是感觉不出来重量变化的。根据实验,只有重量增减达到3g时才刚刚能够察觉到变化,即3g为重量感觉在100g情况下的差别阈值。把这种刚刚能引起差别感觉刺激的最小变化量,称为差别感觉阈值或差别阈。

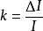
差别阈不是一个恒定值,会随一些因素的变化而发生改变。在19世纪40年代,德国生理学家韦伯(E.H.Weber)在研究重量感觉的变化时发现,100g重量至少需要增减3g、200g重量至少需要增减6g、300g重量至少需要增减9g才能够察觉到重量变化。也就是说,差别阈值随原来刺激量的变化而变化,并表现出差别阈与刺激量的比例为常数。即

image

式中 △I——差别阈;I——刺激量;k——常数,称为韦伯分数

此公式称为韦伯定律。德国心理物理学家费希纳(G.H.Fechner)在韦伯研究的基础上进行了大量的实验研究,发现感觉的大小通刺激强度的对数成正比,刺激强度增加十倍,感觉强度才增加一倍。由此费希纳提出了一个被称为费希纳定律的经验公式:

式中 S——感觉量;R——刺激强度;k,b——常数

后来许多实验证明,韦伯定律只适用于中等强度的刺激,当刺激强度接近绝对阈值时,韦伯比例值将会上升。费希纳定律也只适用于中等强度刺激范围,这一定律在感官分析中有较大的应用价值。在实际应用中,感觉阈限是测评感官鉴定人员的重要指标。

绝对感觉阈

刚刚能引起感觉的最小刺激和刚刚导致感觉消失的最大刺激量为绝对感觉的两个阈值。通常我们听不到一根针落地的声音,也察觉不到落在皮肤上的尘埃,因为它们的刺激量不足以引起我们的感觉。但若刺激强度过大,超出正常范围,则原有的感觉消失而生成其他不舒服的感觉。这种感觉的最小刺激量成为绝对感觉阈值的下限。或称为刺激阈或察觉阈,低于下限的刺激成为阈下刺激。反之,刚刚导致感觉消失的最大刺激量称为绝对感觉阈值的上限,高于上限的刺激称为阈上刺激。

阈上刺激和阈下刺激都不能引起相应的感觉,例如,人眼只对波长380-780nm的光波刺激发生反应,人耳只对20-20000Hz范围的声波刺激起反应,此范围以外的声光刺激均不能形成感觉。1

参考资料

  • 1
    周家春食品感官分析中国轻工业出版社2003