• 1.摘要
  • 2.基本信息
  • 3.非线性偏微分方程
  • 4.行波解
  • 5.参考资料

费希尔方程

费希尔方程( Fisher equation)是一个常见于热传导、燃烧理论、生物学、生态学等领域的非线性偏微分方程。1

基本信息

  • 中文名

    费希尔方程

  • 外文名

    Fisher equation

非线性偏微分方程

费希尔方程( Fisher equation)是一个常见于热传导、燃烧理论、生物学、生态学等领域的非线性偏微分方程.

1

行波解

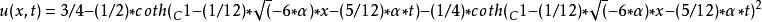
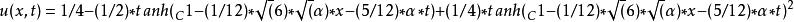
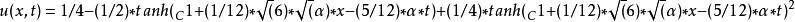
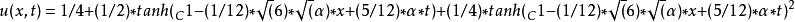
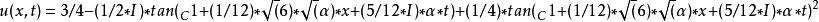
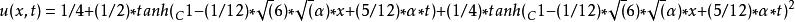
费希尔方程有三角函数和双曲函数行波解:

1

image

imageimageimageimageimageimageimage

费希尔方程行波图
费希尔方程行波图
费希尔方程行波图

参考资料

  • 1
    Andrei D. Polyanin,Valentin F. ZaitsevHANDBOOK OF NONLINEAR PARTIAL DIFFERENTIAL EQUATIONSNEW YORKAndrei D. Polyanin,Valentin F. Zaitsev, HANDBOOK OF NONLINEAR PARTIAL DIFFERENTIAL EQUATIONS,(《非线性偏微分方程手册》) SECOND EDITION p176 CRC PRESS2000