• 1.摘要
  • 2.基本信息
  • 3.基本要求
  • 4.相关公式
  • 4.1.代数
  • 4.2.几何
  • 5.相关概念
  • 5.1.
  • 5.2.矩形
  • 5.3.
  • 6.代数公式
  • 7.三角函数公式
  • 8.前n项和
  • 9.面积公式
  • 10.小学奥数
  • 11.物理公式
  • 11.1.力学
  • 11.2.电磁学
  • 11.3.光学
  • 11.4.热学
  • 12.Office
  • 13.参考资料

公式

数学术语

1、通用格式,用数学符号表示,各个量之间的一定关系(如定律或定理)的式子,能普遍应用于同类事物的方式方法1

2、公式,在数学、物理学、化学、生物学等自然科学中用数学符号表示几个量之间关系的式子。具有普遍性,适合于同类关系的所有问题。在数理逻辑中,公式是表达命题的形式语法对象,除了这个命题可能依赖于这个公式的自由变量的值之外。公式精确定义依赖于涉及到的特定的形式逻辑,但有如下一个非常典型的定义(特定于一阶逻辑): 公式是相对于特定语言而定义的;就是说,一组常量符号、函数符号和关系符号,这里的每个函数和关系符号都带有一个元数(arity)来指示它所接受的参数的数目。

基本信息

  • 中文名

    公式

  • 外文名

    Formula

  • 分类

    数学

  • 功能

    各个量之间的一定关系

  • 要求

    一致性

  • 应用

    数学物理学等

基本要求

根据谓词逻辑的语义推导规则,语义应该具有一致性,就是对于一个命题逻辑语句集f,当且仅当至少存在这样一种解释i,f的一切元素在i之下都是真的,那么,f是语义一致的。在命题逻辑语义学内,一个赋值不能同时把真和假给予某个命题原子式。在命题逻辑语义学中,在同一解释下,一个集合不能既属于某个谓词的外延又不属于该谓词的外延。

错误公式特征:

1,自称是科学的,但含糊不清,缺乏具体的度量衡。

2,无法使用操作定义(例如,外人也可以检验的通用变量、属于、或对象)

3,无法满足简约原则,即当众多变量出现时,无法从最简约的方式求得答案。

4,使用暧昧模糊的语言,大量使用技术术语来使得文章看起来像是科学的。

5,缺乏边界条件:严谨的科学理论在限定范围上定义清晰,明确指出预测现象在何时何地适用,何时何地不适用2

相关公式

代数

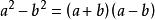
平方差公式:image

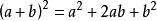
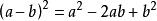
完全平方公式:image或者image(每项系数根据杨辉三角决定)

完全立方公式:(a+b)³=a³+3a²b+3ab²+b³;(每项系数根据杨辉三角决定)

几何

面积计算

圆周长: 2πr(πd) 面积:image

勾股定律:两直角边的平方和等于斜边的平方

(首项加末项)乘项数除以2

m,n的最小公倍数为t,,最大公约数为l