• 1.摘要
  • 2.基本信息
  • 3.基础定义
  • 4.应用举例
  • 5.参考资料

通解

线性代数的概念

线性方程组的解的一般形式,又称为一般解。

基本信息

  • 中文名

    通解

  • 外文名

    general solution

基础定义

1. 对于齐次线性方程组

设齐次线性方程组image的一个基础解系为image,称imageimage的通解或一般解,其中image为任意常数,imageimage1

2.对于线性方程组(定理)

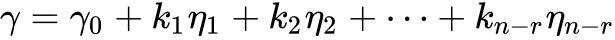
imageimage元非齐次线性方程组image的一个特解,image为其导出组image的基础解系,则imageimage的通解或一般解,其中imageimage为任意常数。1

应用举例

求出线性方程组的解的一般形式。

参考资料

  • 1
    周胜林,刘西民2015