斐波那契数列
斐波那契数列(Fibonacci sequence),又称黄金分割数列,因数学家莱昂纳多·斐波那契(Leonardoda Fibonacci)以兔子繁殖为例子而引入,故又称为“兔子数列”,指的是这样一个数列:0、1、1、2、3、5、8、13、21、34、……在数学上,斐波那契数列以如下被以递推的方法定义:F(0)=0,F(1)=1, F(n)=F(n - 1)+F(n - 2)(n ≥ 2,n ∈ N*)在现代物理、准晶体结构、化学等领域,斐波纳契数列都有直接的应用,为此,美国数学会从 1963 年起出版了以《斐波纳契数列季刊》为名的一份数学杂志,用于专门刊载这方面的研究成果。
在现代物理、准晶体结构、化学等领域,斐波纳契数列都有直接的应用,为此,美国数学会从1963年起出版了以《斐波纳契数列季刊》为名的一份数学杂志,用于专门刊载这方面的研究成果。
基本信息
- 中文名
斐波那契数列
- 外文名
Fibonacci sequence
- 别名
黄金分割数列、兔子数列
- 表达式
F[n]=F[n-1]+F[n-2](n>=2,F[0]=0,F[1]=1)
- 提出者
莱昂纳多·斐波那契
基础定义
斐波那契数列指的是这样一个数列:![]()
这个数列从第3项开始,每一项都等于前两项之和。
斐波那契数列的定义者,是意大利数学家莱昂纳多·斐波那契(Leonardo Fibonacci),生于公元1170年,卒于1250年,籍贯是比萨。他被人称作“比萨的莱昂纳多”。1202年,他撰写了《算盘全书》(Liber Abacci)一书。他是第一个研究了印度和阿拉伯数学理论的欧洲人。他的父亲被比萨的一家商业团体聘任为外交领事,派驻地点于阿尔及利亚地区,莱昂纳多因此得以在一个阿拉伯老师的指导下研究数学。他还曾在埃及、叙利亚、希腊、西西里和普罗旺斯等地研究数学。另外斐波纳契还在计算机C语言程序题中应用广泛
通项公式
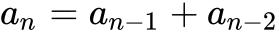
递推公式
斐波那契数列:![]()
如果设an为该数列的第n项(
),那么这句话可以写成如下形式:![]()
显然这是一个线性递推数列。
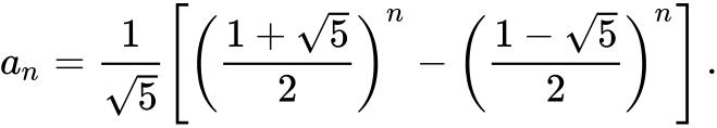
通项公式内容
⑴
(如上,又称为“比内公式”,是用无理数表示有理数的一个范例。)
注:此时![]()
⑵ an=[(2/√5+1)-1/(√5+1/2)ⁿ]/√5
通项公式推导
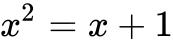
方法一:利用特征方程(线性代数解法)
线性递推数列的特征方程为:
![]()