几何平均数
几何平均数是对各变量值的连乘积开项数次方根。求几何平均数的方法叫做几何平均法。如果总水平、总成果等于所有阶段、所有环节水平、成果的连乘积总和时,求各阶段、各环节的一般水平、一般成果,要使用几何平均法计算几何平均数,而不能使用算术平均法计算算术平均数。根据所拿握资料的形式不同,其分为简单几何平均数和加权几何平均数两种形式1。
基本信息
- 中文名
几何平均数
- 外文名
Geometric Mean
- 相关术语
加权平均数
- 所属领域
数学
- 用途
求平均数
定义
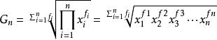
几何平均数是n个变量值连乘积的n次方根。
分为简单几何平均数与加权几何平均数。
几何平均数示意图
1、简单几何平均数:
几何平均数示意图
2、加权几何平均数:

特点
1、几何平均数受极端值的影响较算术平均数小;
2、如果变量值有负值,计算出的几何平均数就会成为负数或虚数;
3、它仅适用于具有等比或近似等比关系的数据;
4、几何平均数的对数是各变量值对数的算术平均数。
应用
例:假定某地储蓄年利率(按复利计算):5%持续1.5年,3%持续2.5年,2.2%持续1年。求此5年内该地平均储蓄年利率。
解:由
得到该地平均储蓄年利率:![]()