• 1.摘要
  • 2.基本信息
  • 3.基础定义
  • 4.演绎过程
  • 5.检验方法
  • 6.资料检验
  • 7.代码实现
  • 8.参考资料

卡方检验

假设检验方法

卡方检验就是统计样本的实际观测值与理论推断值之间的偏离程度。实际观测值与理论推断值之间的偏离程度就决定卡方值的大小。

1/2

卡方检验是用途非常广的一种假设检验方法,它在分类资料统计推断中的应用,包括:两个率或两个构成比比较的卡方检验;多个率或多个构成比比较的卡方检验以及分类资料的相关分析等。

基本信息

  • 中文名

    卡方检验

  • 外文名

    chi-square testX,2-test

  • 种类

    假设检验方法1

  • 应用

    分类资料统计推断

  • 作用

    资料分析

  • 定义

    观测值与理论值之间的偏离程度

基础定义

1/3

卡方检验就是统计样本的实际观测值与理论推断值之间的偏离程度,实际观测值与理论推断值之间的偏离程度就决定卡方值的大小,卡方值越大,越不符合;卡方值越小,偏差越小,越趋于符合,若两个值完全相等时,卡方值就为0,表明理论值完全符合。

注意:卡方检验针对分类变量。2

演绎过程

卡方检验

(1)提出原假设:

H0:总体X的分布函数为F(x).

如果总体分布为离散型,则假设具体为

H0:总体X的分布律为P{X=xi}=pi, i=1,2,...

(2)将总体X的取值范围分成k个互不相交的小区间A1,A2,A3,…,Ak,如可取

A1=(a0,a1],A2=(a1,a2],...,Ak=(ak-1,ak),

其中a0可取-∞,ak可取+∞,区间的划分视具体情况而定,但要使每个小区间所含的样本值个数不小于5,而区间个数k不要太大也不要太小。

(3)把落入第i个小区间的Ai的样本值的个数记作fi,成为组频数(真实值),所有组频数之和f1+f2+...+fk等于样本容量n。

(4)当H0为真时,根据所假设的总体理论分布,可算出总体X的值落入第i 个小区间Ai的概率pi,于是,npi就是落入第i个小区间Ai的样本值的理论频数(理论值)

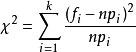
(5)当H0为真时,n次试验中样本值落入第i个小区间Ai的频率fi/n与概率pi应很接近,当H0不真时,则fi/n与pi相差很大。基于这种思想,皮尔逊引进如下检验统计量image,在0假设成立的情况下服从自由度为k-1的卡方分布。

检验方法

独立样本四格表

自由度为1