• 1.摘要
  • 2.基本信息
  • 3.计算方法
  • 4.周期变化
  • 5.递变规律
  • 6.主要应用
  • 7.参考资料

电负性

化学术语

电负性(electronegativity),别称相对电负性、电负度,是元素的原子在化合物中吸引电子的能力标度,这一概念由莱纳斯·卡尔·鲍林于1932年引入。

1/2

电负性综合考虑了电离能和电子亲合能,元素的电负性越大,表示其原子在化合物中吸引电子的能力越强,随着原子序号的递增,元素的电负性呈现周期性变化。

基本信息

  • 中文名

    电负性

  • 外文名

    electronegativity

  • 学科

    化学

  • 应用

    化学物质性质研究

  • 定义

    元素的原子在化合物中吸引电子能力的标度1

计算方法

首先需要说明,电负性是相对值,所以没有单位。而且电负性的计算方法有多种(即采用不同的标度),因而每一种方法的电负性数值都不同,所以利用电负性值时,必须是同一套数值进行比较。比较有代表性的电负性计算方法有3种:

① 1932年L.C.鲍林提出的标度。根据热化学数据和分子的键能,指定氟的电负性为4.0(后人改为3.98),计算其他元素的相对电负性(稀有气体未计)。1

鲍林的计算方法是:image

其中imageimageimage分别指AB, A2, B2分子的键能2

原始鲍林电负性表

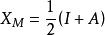
②1934年R.S.马利肯从电离势和电子亲合能计算的绝对电负性,即电离能和电子亲和能的平均值。

image

I为电离能,A为电子亲和能(放热为正,吸热为负)3

③1956年A.L.阿莱和E.罗周提出的建立在核和成键原子的电子静电作用基础上的电负性。

image其中image为有效核电荷数,r为半径

阿莱-罗周电负性表(上)和修正鲍林电负性表(下)

④1989年L.C.Allen根据光谱实验数据以基态自由原子价层电子的平均单位电子能量为基础获得主族元素的电负性:

image

m和n分别为p轨道和s轨道上的电子数,Ep和Es分别为p轨道和s轨道的电子平均能量。4

Allen光谱电负性表

常见元素电负性大小(鲍林标度)

非金属系:氟>氧>氯>氮>溴> 碘>硫>碳

金属系:铝>铍>镁>钙>锂>钠>钾