• 1.摘要
  • 2.基本信息
  • 3.基础定义
  • 4.应用举例
  • 4.1.例1
  • 4.2.例2
  • 5.特点
  • 6.Matlab函数
  • 7.区别联系
  • 8.参考资料

中位数

数学定义

中位数(Median,又称中值)是按顺序排列的一组数据中居于中间位置的数,代表一个样本、种群或概率分布中的一个数值,其可将数值集合划分为相等的上下两部分。对于有限的数集,可以通过把所有观察值按高低排序后找出正中间的一个作为中位数。如果观察值有偶数个,通常取最中间的两个数值的平均数作为中位数1

基本信息

  • 中文名

    中位数

  • 外文名

    Median

  • 领域

    统计学数据挖掘

  • 基本释义

    一组有序数据中居于中间位置的数2

  • 归属学科

    数学

  • 别称

    中值

基础定义

中位数,又称中点数,中值。中数是按顺序排列的一组数据中居于中间位置的数,即在这组数据中,有一半的数据比他大,有一半的数据比他小,这里用image来表示中位数。(注意:中位数和众数不同,众数指最多的数,众数有时不止一个,而中位数只能有一个。)

有一组数据:

中位数

将它按从小到大的顺序排序为:

中位数

则当N为奇数时,image;当N为偶数时,image

一个数集中最多有一半的数值小于中位数,也最多有一半的数值大于中位数。如果大于和小于中位数的数值个数均少于一半,那麽数集中必有若干值等同于中位数。

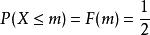
设连续随机变量X的分布函数为image,那么满足条件image的数称为X或分布F的中位数。

应用举例

对于一组有限个数的数据来说,它们的中位数是这样的一种数:这群数据里的一半的数据比它大,而另外一半数据比它小。 计算有限个数的数据的中位数的方法是:把所有的同类数据按照大小的顺序排列。如果数据的个数是奇数,则中间那个数据就是这群数据的中位数;如果数据的个数是偶数,则中间那2个数据的算术平均值就是这群数据的中位数。

中位数:也就是选取中间的数,是一种衡量集中趋势的方法。

例1

找出这组数据:23、29、20、32、23、21、33、25 的中位数。

解:

首先将该组数据进行排列(这里按从小到大的顺序),得到:

20、21、23、23、25、29、32、33

因为该组数据一共由8个数据组成,即n为偶数,故按中位数的计算方法,得到中位数image,即第四个数和第五个数的平均数。

例2