• 1.摘要
  • 2.基本信息
  • 3.基本简介
  • 4.生成机制
  • 5.与路端电压关系
  • 5.1.电源充电
  • 5.2.电源放电
  • 5.3.电源断开
  • 6.测量方法
  • 6.1.使用电压表
  • 6.2.使用电位差计
  • 7.与电势差区别
  • 8.与电压区别
  • 9.参考资料

电动势

反映电源转换电能本领的物理量

即电子运动的趋势,能够克服导体电阻对电流的阻力,使电荷在闭合的导体回路中流动的一种作用。这种作用来源于相应的物理效应或化学效应,通常还伴随着能量的转换,因为电流在导体中(超导体除外)流动时要消耗能量,这个能量必须由产生电动势的能源补偿。如果电动势只发生在导体回路的一部分区域中,就称这部分区域为电源区。电源区中也存在着电阻,称为电源的内阻。电源区之外部分导体回路中所消耗的能量,直接来源于导体中的电磁场,但是这时电磁场的能量仍然来自电源。

基本信息

  • 中文名

    电动势

  • 外文名

    Electromotive Force

  • 学科

    物理

  • 应用

    电路电学问题

  • 单位

    伏特1

  • 符号

    E(ε)

基本简介

电动势是反映电源把其他形式的能转换成电能的本领的物理量。电动势使电源两端产生电压。在电路中,电动势常用E表示。单位是伏(V)。

在电源内部,非静电力把正电荷从负极板移到正极板时要对电荷做功,这个做功的物理过程是产生电源电动势的本质。非静电力所做的功,反映了其他形式的能量有多少变成了电能。因此在电源内部,非静电力做功的过程是能量相互转化的过程。

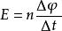
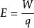
电动势的大小等于非静电力把单位正电荷从电源的负极,经过电源内部移到电源正极所作的功。如设W为电源中非静电力(电源力)把正电荷量q从负极经过电源内部移送到电源正极所作的功跟被移送的电荷量的比值,则电动势大小为:image。如:电动势为6伏说明电源把1库正电荷从负极经内电路移动到正极时非静电力做功6焦。有6焦的其他其形式能转换为电能。

电动势的方向规定为从电源的负极经过电源内部指向电源的正极,即与电源两端电压的方向相反。

生成机制

切割磁场而产生电动势。

电源的电动势是和非静电力的功密切联系的。非静电力是指除静电力外能对电荷流动起作用的力,并非泛指静电力外的一切作用力。不同电源非静电力的来源不同,能量转换形式也不同。

化学电动势(干电池、钮扣电池、蓄电池等)的非静电力是一种与离子的溶解和沉积过程相联系的化学作用,电动势的大小取决于化学作用的种类,与电源大小无关,如干电池无论1号、2号、5号电动势都是1.5伏。产生化学电动势的电池称为化学电池或电化电池,例如:铜锌原电池,电解质溶液为硫酸铜溶液。

感生电动势动生电动势(发电机)。发电机的非静电力起源于磁场对运动电荷的作用,即洛伦兹力。

根据法拉第电磁感应定律:只要穿过回路的磁通量发生了变化,在回路中就会有感应电动势产生。而实际上,引起磁通量变化的原因不外乎两条:其一是回路相对于磁场有运动;其二是回路在磁场中虽无相对运动,但是磁场在空间的分布是随时间变化的,将前一原因产生的感应电动势称为动生电动势,而后一原因产生的感应电动势称为感生电动势。

感应电动势的大小imageimage为磁通量的变化量,image为时间,image为线圈匝数)2

光生电动势(光电池)的非静电力来源于内光电效应。

在光照下,若入射光子的能量大于禁带宽度,半导体PN结附近被束缚的价电子吸收光子能量,受激发跃迁至导带形成自由电子,而价带则相应地形成自由空穴。这些电子一空穴对,在内电场的作用下,空穴移向P区,电子移向N区,使P区带正电,N区带负电,于是在P区和N区之间产生电压,称为光生电动势,这就是光伏特效应。利用光伏特效应制成的敏感元件有光电池、光敏二极管和光敏三极管等。

压电电动势(晶体压电点火、晶体话筒等)来源于机械功造成的极化现象。

当电介质(晶体)受到一定方向外力的作用而产生变形时,就会引起它内部正负电荷中心相对转移而产生极化现象,从而导致在相应的两个表面上产生符号相反的电荷,于是在两个表面产生电压,称为压电电动势;当外力作用除去时,表面的电荷也随之消失,又重新恢复不带电状态;当外力作用方向改变时,电荷的极性也随之改变。

温差电动势(温差电源)的非静电力是一种与温度差和电子浓度差相联系的扩散作用。

1821年德国物理学家塞贝克(T J Seeback)发现:当两种不同金属导线组成闭合回路时,若在两接头维持一温差,回路就有电流和电动势产生,后来称此为塞贝克效应。其中产生的电动势称为温差电动势述回路称为热电偶。

与路端电压关系