• 1.摘要
  • 2.基本信息
  • 3.基本简介
  • 3.1.直角三角形中
  • 3.2.直角坐标系中
  • 3.3.单位圆定义
  • 3.4.级数定义
  • 3.5.与其他函数
  • 3.6.微分方程定义
  • 3.7.指数定义
  • 4.历史沿革
  • 5.正割恒等式
  • 6.巴洛正割积分
  • 7.正割定理
  • 8.函数性质
  • 9.参考资料

正割

三角函数

正割(Secant,sec)是三角函数的一种,和余弦函数互为倒数,其定义域不是整个实数集,值域是绝对值大于等于一的实数。

正割属于周期函数,最小正周期为2π,是三角函数的正函数(正弦、正切、正割、正矢)之一,所以在2kπ到2kπ+π/2的区间之间,函数是递增的。在单位圆上,正割函数位于割线上,因此将此函数命名为正割函数。

基本信息

  • 中文名

    正割

  • 外文名

    Secant

  • 值域

    绝对值大于等于一的实数

  • 性质

    周期函数

  • 相关术语

    正弦正切正矢

  • 应用学科

    数学1

  • 内容

    三角函数的一种

基本简介

直角三角形中

某直角三角形中,一个锐角的斜边与其邻边的比(即角A斜边比邻边),叫做该锐角的正割,用 sec(角)表示 。如设该直角三角形各边为a,b,c,则secA=c/b。

(sec的完整形式为secant)

在y=secx中,以x的任一使secx有意义的值与它对应的y值作为(x,y).在直角坐标系中作出的图形叫正割函数的图像,也叫正割曲线。

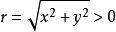
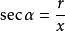
直角坐标系中

设α是平面直角坐标系xOy中的一个象限角,image是角的终边上一点,image是P到原点O的距离,则α的正割定义为:image

单位圆定义

单位圆

图像中给出了用弧度度量的某个公共角。逆时针方向的度量是正角而顺时针的度量是负角。设一个过原点的线,同x轴正半部分得到一个角 θ,并与单位圆相交。这个交点的y坐标等于 sin θ。在这个图形中的三角形确保了这个公式;半径等于斜边并有长度 1,所以有了 sec θ = 1/x。单位圆可以被认为是通过改变邻边和对边的长度并保持斜边等于 1 查看无限数目的三角形的一种方式。

对于大于2π或小于−2π的角度,简单的继续绕单位圆旋转。在这种方式下,正割变成了周期为2π的周期函数:image

对于任何角度θ和任何整数k。

级数定义

正割也能使用泰勒级数来定义:

与其他函数

正割函数和余弦函数互为倒数。

即:image

微分方程定义