• 1.摘要
  • 2.基本信息
  • 3.基础定义
  • 4.应用举例
  • 4.1.定义法
  • 4.2.公式法
  • 4.3.最小公倍数法
  • 4.4.图象法
  • 4.5.恒等变换法
  • 5.补充问题
  • 6.参考资料

最小正周期

数学概念

最小正周期(minimal positive period)是一个周期函数中的所有周期中存在的最小正整数。例如,正弦函数的最小正周期是2π1.

1/2

根据上述定义,我们有:

对于正弦函数y=sinx, 自变量x只要并且至少增加到x+2π时,函数值才能重复取得正弦函数和余弦函数的最小正周期是2π。

y=Asin(ωx+φ), T=2π/ω(其中ω必须>0)

基本信息

  • 中文名

    最小正周期

  • 外文名

    minimal positive period

  • 领域

    数学

  • 算法实例

    函数f(x)±g(x)最小正周期的求法

  • 基本概念

    函数f(x)所有周期中最小的正数

  • 应用

    图像分析信号处理

基础定义

函数f(x)±g(x)最小正周期的求法

应用举例

定义法

概念:根据周期函数和最小正周期的定义,确定所给函数的最小正周期。

例1、求函数y=|sinx|+|cosx|的最小正周期.

解:∵ =|sinx|+|cosx|

=|-sinx|+|cosx|

=|cos(x+π/2)|+|sin(x+π/2)|

=|sin(x+π/2)|+|cos(x+π/2)|

=f(x+π/2)

对定义域内的每一个x,当x增加到x+π/2时,函数值重复出现,因此函数的最小正周期是π/2.(如果f(x+T)=f(x),那么T叫做f(x)的周期)。

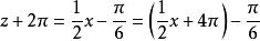
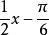
例2 、求函数image的最小正周期。

解:把image看成是一个新的变量z,那么2sinz的最小正周期是2π。

由于image。所以当自变量x增加到x+4π且必须增加到x+4π时,函数值重复出现。

∴函数image的最小正周期是4π。

公式法

这类题目是通过三角函数的恒等变形,转化为一个角的一种函数的形式,用公式去求,其中正余弦函数求最小正周期的公式为T=2π/|ω| ,正余切函数T=π/|ω|。

函数f(x)=Asin(ωx+φ)和f(x)=Acos(ωx+φ)(A≠0,ω>0)的最小正周期都是;函数f(x)=Atan(ωx+φ)和f(x)=Acot(ωx+φ)(A≠0,ω>0)的最小正周期都是,运用这一结论,可以直接求得形如y=Af(ωx+φ)(A≠0,ω>0)一类三角函数的最小正周期(这里“f”表示正弦、余弦、正切或余切函数)。