• 1.摘要
  • 2.基本信息
  • 3.原理
  • 4.迭代
  • 5.充分条件
  • 6.C语言代码
  • 7.定义函数
  • 8.主程序

弦截法

弦截法是求非线性方程近似根的一种线性近似方法。它是以与曲线弧AB对应的弦AB与x轴的交点横坐标作为曲线弧AB与x轴的交点横坐标的近似值μ来求出方程的近似解。该方法一般通过计算机编程来实现。弦截法的原理是以直代曲即用弦(直线)代替曲线求方程的近似解,也就是利用对应的弦 与 轴的交点横坐标来作为曲线弧 与 轴的交点横坐标 的近似值。

基本信息

  • 中文名

    弦截法

  • 作用

    求非线性方程近似根

  • 原理

    以直线代替曲线

原理

方程image实数解image的几何意义是曲线imageimage轴交点的横坐标。

弦截法的原理是以直代曲即用弦(直线)代替曲线求方程的近似解,也就是利用对应的弦imageimage轴的交点横坐标来作为曲线弧imageimage轴的交点横坐标image的近似值。

迭代

确定含根区间

image在区间image上连续,image,则称区间image为方程image的含根区间。

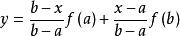
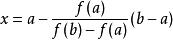
弦截法的近似根公式

由于过imageimage两点的直线image的方程为image,将直线与image轴交点的横坐标image取作方程image在含根区间image上解image的近似值。

迭代必要性

弦截法

使用弦截法是可以得到方程image在含根区间image上的近似解。但是只用一次弦截法得到近似解误差可能相当大,精度可能不能满足要求。所以要根据第一次弦截法的结果进行再次、多次迭代。

当函数image满足了一定的条件后,经过逐次迭代得到的近似解数列image是收敛,且收敛于方程的解image,根据极限的思想,image,经过有限次迭代就能满足精度要求的近似解。

迭代规则

进行多次迭代的本质是反复“缩小的含根区间,新的缩小的含根区间上求新的近似根”。

迭代的操作规则是

(1)记第image次弦截法下的近似根为image,如果image,那么image就是方程的根,迭代结束。

(2)如果image,根据image的正负号按新求出照如下规则操作:

如果image,则将image记为image(将image赋值给image),反之将image记为image,可以得到新的缩小了的含根区间image

(3)判断精度要求是否得到满足,如果imageimage为给定的精度要求),迭代结束。