柯西不等式
柯西不等式是由大数学家柯西(Cauchy)在研究数学分析中的“流数”问题时得到的1。但从历史的角度讲,该不等式应称作Cauchy-Buniakowsky-Schwarz不等式【柯西-布尼亚科夫斯基-施瓦茨不等式】因为,正是后两位数学家彼此独立地在积分学中推而广之,才将这一不等式应用到近乎完善的地步。 柯西不等式是由柯西在研究过程中发现的一个不等式,其在解决不等式证明的有关问题中有着十分广泛的应用,所以在高等数学提升中与研究中非常重要,是高等数学研究内容之一。
基本信息
- 中文名
柯西不等式
- 外文名
Cauchy-Buniakowsky-Schwarz Inequality
- 提出者
奥古斯丁·路易·柯西
- 提出时间
18世纪
- 推广者
赫尔曼·阿曼杜斯·施瓦茨
- 应用学科
数学2
基本简介
柯西(Cauchy Augustin-Louis,1789-1857),法国数学家,1789年8月21日生于巴黎,他的父亲路易·弗朗索瓦·柯西是法国波旁王朝的官员,在法国动荡的政治漩涡中一直担任公职。由于家庭的原因,柯西本人属于拥护波旁王朝的正统派,是一位虔诚的天主教徒。
他在纯数学和应用数学的功底是相当深厚的,很多数学的定理、公式都以他的名字来称呼,如柯西不等式、柯西积分公式。在数学写作上,他被认为在数量上仅次于欧拉的人,他一生一共著作了789篇论文和几本书,以《分析教程》(1821年)和《关于定积分理论的报告》(1827年)最为著名。不过他并不是所有的创作都质量很高,因此他还曾被人批评“高产而轻率”,这点倒是与数学王子(高斯)相反。据说,法国科学院《会刊》创刊的时候,由于柯西的作品实在太多,以致于科学院要负担很大的印刷费用,超出科学院的预算,因此,科学院后来规定论文最长的只能够到四页。柯西较长的论文因而只得投稿到其它地方3。
定义定理
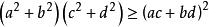
二维形式
公式变形:![]()
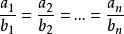
等号成立条件:当且仅当
(即
)时。
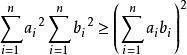
一般形式
等号成立条件:
,或
中有一为零。
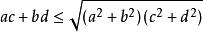
上述不等式等同于概述图中的不等式。
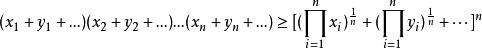
一般形式推广
![]()
此推广形式又称卡尔松不等式,其表述是:在m×n矩阵中,各列元素之和的几何平均不小于各行元素的几何平均之和。二维形式是卡尔松不等式n=2时的特殊情况3。
向量形式
推广: