• 1.摘要
  • 2.基本信息
  • 3.空气阻力简介
  • 4.运动方程
  • 5.汽车方面
  • 5.1.汽车阻力
  • 5.2.阻力系数
  • 6.加装尾翼法
  • 7.车身形状
  • 8.试验
  • 9.应用
  • 9.1.降落伞
  • 9.2.减速伞
  • 10.参考资料

空气阻力

空气对运动物体的阻碍力

空气阻力,指空气对运动物体的阻碍力,是运动物体受到空气的弹力而产生的。汽车、船舶、铁路机车等在运行时,由于前面的空气被压缩,两侧表面与空气的摩擦,以及尾部后面的空间成为部分真空,这些作用所引起的阻力。在逆风运行时,还要把风力附加在内。在现实生活中,自由落体也受空气阻力的影响,其速度,接触面积,空气密度等都会影响空气阻力的大小。

基本信息

  • 中文名

    空气阻力

  • 外文名

    air resistance

  • 实质

    空气对运动物体的阻碍力

  • 所属学科

    物理学

  • 产生原因

    受到空气的弹力

  • 大小影响因素

    速度、接触面积、空气密度等

空气阻力简介

空气阻力是汽车在空气介质中行驶,汽车相对于空气运动时空气作用力在行驶方向形成的分力,空气阻力与汽车速度的平方成正比,车速越快阻力越大。如果空气阻力占汽车行驶阻力的比率很大,则会增加汽车燃油消耗量或严重影响汽车的动力性能。

空气阻力

在一级方程式赛车界中有这么一句话:“谁控制好空气,谁就能赢得比赛”。追求最佳的空气动力是现代一级方程式赛车中最重要的部分之一。在时速达300km以上的赛车世界中,空气在很大程度上决定了赛车的速度。空气动力中,要考虑的要素简而言之有两点。

1、减少空气阻力(drag);

2、增加把赛车下压的下压力(downforce)。空气阻力越小赛车的速度越能越快,下压力越大赛车在弯道时的速度就越快。空气动力学简单说就是如何取决在某些时候这两个完全相反的力的最佳平衡。实际操作时要与环境因素造成的气流量的压强挂钩。 否则你将区别不出什么是空气动力和空气阻力。

摩擦阻力

指空气粘度在车身表面产生的切向力在行驶方向的分力;该力仅占空气阻力总额的9%,在航空和航天中其作为重点考虑对象,在地面一般车辆中可予以忽略。

降落伞是利用空气阻力,依靠相对于空气运动充气展开的可展式气动力减速器,使人或物从空中安全降落到地面的一种航空工具。主要由柔性织物制成。是空降兵作战和训练、航空航天人员的救生和训练、跳伞运动员进行训练、比赛和表演,空投物资、回收飞行器的设备器材。

在空中运动的物体,受到空气的阻力,在空气中如果速度低于2.5 M(马赫),基本上认为其阻力f与阻力系数k伞的面积S速度成正比 (f=ksv),这时k一般可取为2.937。当其在空气中如果速度高于2.5 M(马赫),由于空气的摩擦, 开始出现气动加热现象。

运动方程

通过对空气阻力积分,我们可以得到在空气阻力条件下的加速度,速度和位移方程。

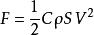
根据空气阻力的公式:image计算。

式中:C为空气阻力系数,该值通常是实验值,和物体的特征面积(迎风面积),物体光滑程度和整体形状有关;ρ为空气密度,正常的干燥空气可取1.293g/l,特殊条件下可以实地监测;S物体迎风面积;V为物体与空气的相对运动速度。由上式可知,正常情况下空气阻力的大小与空气阻力系数及迎风面积成正比,与速度平方成正比。在空气中如果速度达到2.5M(马赫) 附近, 由于空气的摩擦, 开始出现气动加热现象。

假设空气不动,上式中V=物体速度v。

由于空气阻力方向与物体运动方向相反,因此以物体运动速度为正值时,空气阻力方向则为负值。

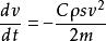
如此加速度公式image.这是一个以t为自变量的简单微分方程。

分离变量:image

两边积分: