• 1.摘要
  • 2.基本信息
  • 3.基础定义
  • 4.证明
  • 5.内容

正切定理

数学定理

正切定理是三角学中的一个定理,根据该定理,在三角形中,任意两条边的和除以第一条边减第二条边的差所得的商,等于这两条边对角的和的一半的正切,除以第一条边对角减第二条边对角的差的一半的正切所得的商。

基本信息

  • 中文名

    正切定理

  • 外文名

    Law of Tangents

  • 提出者

    法兰西斯·韦达

基础定义

1/3

法兰西斯·韦达(Franccedil ois Viète)曾在他对三角法研究的第一本著作《应用于三角形的数学法则》中提出正切定理。现代的中学课本已经甚少提及,例如由于中华人民共和国曾经对前苏联和其教育学的批判,在1966年至1977年间曾经将正切定理删除出中学数学教材。不过在没有计算机的辅助求解三角形时,此定理可比余弦定理更容易利用对数来运算投影等问题。

证明

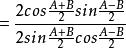
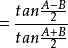
由正弦定理,image

image(和差化积)

image

(1)式得证。

同理,可证得(2)(3)两式。

插图

内容

对三角形ABC

image(1)

image(2)

image(3)